IEC 61784-5-12:2024
(Main)Industrial networks - Profiles - Part 5-12: Installation of fieldbuses - Installation profiles for CPF 12
Industrial networks - Profiles - Part 5-12: Installation of fieldbuses - Installation profiles for CPF 12
IEC 61784-5-12:2024 specifies the installation profile for CPF 12 (EtherCAT™).
The installation profile is specified in Annex A. This annex is read in conjunction with IEC 61918:2018, IEC 61918:2018/AMD1:2022 and IEC 61918:2018/AMD2:2024.
EtherCAT™ is a trade name of Beckhoff, Verl. This information is given for the convenience of users of this document and does not constitute an endorsement by IEC of the trademark holder or any of its products. Compliance to this profile does not require use of the trade name. Use of the trade name requires permission of the trade name holder.
Réseaux industriels - Profils - Partie 5-12: Installation des bus de terrain - Profils d’installation pour CPF 12
L’IEC 61784-5-12:2024 définit les profils d’installation pour la CPF 12 (EtherCAT™).
Le profil d’installation est spécifié à l’Annexe A. Cette annexe est à lire conjointement avec l’IEC 61918:2018, l’IEC 61918:2018/AMD1:2022 et l’IEC 61918:2018/AMD2:2024.
EtherCAT™ est une appellation commerciale de Beckhoff, Verl. Cette information est donnée à l’intention des utilisateurs du présent document et ne signifie nullement que l’IEC approuve l’emploi du produit ainsi désigné. La conformité à ce profil n’exige pas l’utilisation de l’appellation commerciale. L’utilisation de l’appellation commerciale exige l’autorisation du détenteur de celle-ci.
General Information
- Status
- Published
- Publication Date
- 20-Mar-2024
- Technical Committee
- SC 65C - Industrial networks
- Drafting Committee
- JWG 10 - TC 65/SC 65C/JWG 10
- Current Stage
- PPUB - Publication issued
- Start Date
- 21-Mar-2024
- Completion Date
- 29-Mar-2024
Relations
- Effective Date
- 12-Apr-2024
Overview
IEC 61784-5-12:2024 defines the installation profile for CPF 12 (EtherCAT™) within the IEC 61784-5 series for industrial communication networks. Published as Edition 3.0 (March 2024), this standard specifies how to apply the general installation requirements of IEC 61918:2018 (including AMD1:2022 and AMD2:2024) specifically for EtherCAT-based fieldbus installations. The detailed CPF 12 profile is provided as Annex A (normative) and is intended to be read together with IEC 61918.
Note: EtherCAT™ is a Beckhoff trade name; IEC provides this information for convenience and does not endorse the trademark holder. Compliance with the profile does not require use of the trade name.
Key topics and technical requirements
The standard focuses on practical installation and verification requirements for CPF 12 networks. Primary technical topics covered in Annex A include:
Installation planning
- Planning requirements and network capability considerations
- Selection and use of cabling components (balanced copper and optical fibre)
- Documentation and verification of cabling plans
Installation implementation
- Cable, connector and terminator installation practices
- Device installation, coding and labelling
- Earthing, bonding and shield cabling requirements
Verification and acceptance testing
- Installation verification procedures
- Installation acceptance test criteria and documentation
Administration, maintenance and troubleshooting
- As‑implemented documentation
- Maintenance and fault‑finding guidance
Supporting material in the annex includes tables for network characteristics (balanced cabling and optical fibre), cable and connector information, and guidance distinguishing fixed, flexible and special cables. Recent technical changes include the addition of four-pair twisted cables and consolidation of references to CPF 12.
Practical applications and users
IEC 61784-5-12 is intended for organizations deploying EtherCAT fieldbus systems in industrial automation and control environments. Typical users include:
- Network planners and system architects - to select cabling, connectors and network topologies consistent with CPF 12
- Installers and commissioning teams - to implement cabling, terminators, earthing and device mounting per the profile
- Verification and validation personnel - to perform installation acceptance tests and document compliance
- Maintenance and administration staff - to maintain as‑implemented records, troubleshoot and manage changes
The standard helps ensure interoperability, predictable performance and reliable installation of EtherCAT-based industrial networks.
Related standards
- IEC 61918:2018 (and AMD1:2022, AMD2:2024) - primary installation requirements to be read in conjunction with IEC 61784-5-12
- IEC 61784-5 series - other CPF installation profiles
- IEC 61158 - background on fieldbuses and profile relationships
Keywords: IEC 61784-5-12, EtherCAT, CPF 12, installation profile, fieldbus installation, industrial networks, IEC 61918, cabling, termination, verification.
IEC 61784-5-12:2024 RLV - Industrial networks - Profiles - Part 5-12: Installation of fieldbuses - Installation profiles for CPF 12 Released:3/21/2024 Isbn:9782832285954
IEC 61784-5-12:2024 - Industrial networks - Profiles - Part 5-12: Installation of fieldbuses - Installation profiles for CPF 12 Released:3/21/2024 Isbn:9782832283912
Frequently Asked Questions
IEC 61784-5-12:2024 is a standard published by the International Electrotechnical Commission (IEC). Its full title is "Industrial networks - Profiles - Part 5-12: Installation of fieldbuses - Installation profiles for CPF 12". This standard covers: IEC 61784-5-12:2024 specifies the installation profile for CPF 12 (EtherCAT™). The installation profile is specified in Annex A. This annex is read in conjunction with IEC 61918:2018, IEC 61918:2018/AMD1:2022 and IEC 61918:2018/AMD2:2024. EtherCAT™ is a trade name of Beckhoff, Verl. This information is given for the convenience of users of this document and does not constitute an endorsement by IEC of the trademark holder or any of its products. Compliance to this profile does not require use of the trade name. Use of the trade name requires permission of the trade name holder.
IEC 61784-5-12:2024 specifies the installation profile for CPF 12 (EtherCAT™). The installation profile is specified in Annex A. This annex is read in conjunction with IEC 61918:2018, IEC 61918:2018/AMD1:2022 and IEC 61918:2018/AMD2:2024. EtherCAT™ is a trade name of Beckhoff, Verl. This information is given for the convenience of users of this document and does not constitute an endorsement by IEC of the trademark holder or any of its products. Compliance to this profile does not require use of the trade name. Use of the trade name requires permission of the trade name holder.
IEC 61784-5-12:2024 is classified under the following ICS (International Classification for Standards) categories: 25.040.40 - Industrial process measurement and control; 35.100.40 - Transport layer. The ICS classification helps identify the subject area and facilitates finding related standards.
IEC 61784-5-12:2024 has the following relationships with other standards: It is inter standard links to IEC 61784-5-12:2018. Understanding these relationships helps ensure you are using the most current and applicable version of the standard.
You can purchase IEC 61784-5-12:2024 directly from iTeh Standards. The document is available in PDF format and is delivered instantly after payment. Add the standard to your cart and complete the secure checkout process. iTeh Standards is an authorized distributor of IEC standards.
Standards Content (Sample)
IEC 61784-5-12 ®
Edition 3.0 2024-03
REDLINE VERSION
INTERNATIONAL
STANDARD
colour
inside
Industrial communication networks – Profiles –
Part 5-12: Installation of fieldbuses – Installation profiles for CPF 12
All rights reserved. Unless otherwise specified, no part of this publication may be reproduced or utilized in any form
or by any means, electronic or mechanical, including photocopying and microfilm, without permission in writing from
either IEC or IEC's member National Committee in the country of the requester. If you have any questions about IEC
copyright or have an enquiry about obtaining additional rights to this publication, please contact the address below or
your local IEC member National Committee for further information.
IEC Secretariat Tel.: +41 22 919 02 11
3, rue de Varembé info@iec.ch
CH-1211 Geneva 20 www.iec.ch
Switzerland
About the IEC
The International Electrotechnical Commission (IEC) is the leading global organization that prepares and publishes
International Standards for all electrical, electronic and related technologies.
About IEC publications
The technical content of IEC publications is kept under constant review by the IEC. Please make sure that you have the
latest edition, a corrigendum or an amendment might have been published.
IEC publications search - webstore.iec.ch/advsearchform IEC Products & Services Portal - products.iec.ch
The advanced search enables to find IEC publications by a Discover our powerful search engine and read freely all the
variety of criteria (reference number, text, technical publications previews, graphical symbols and the glossary.
committee, …). It also gives information on projects, replaced With a subscription you will always have access to up to date
and withdrawn publications. content tailored to your needs.
IEC Just Published - webstore.iec.ch/justpublished
Electropedia - www.electropedia.org
Stay up to date on all new IEC publications. Just Published
The world's leading online dictionary on electrotechnology,
details all new publications released. Available online and once
containing more than 22 500 terminological entries in English
a month by email.
and French, with equivalent terms in 25 additional languages.
Also known as the International Electrotechnical Vocabulary
IEC Customer Service Centre - webstore.iec.ch/csc
(IEV) online.
If you wish to give us your feedback on this publication or need
further assistance, please contact the Customer Service
Centre: sales@iec.ch.
IEC 61784-5-12 ®
Edition 3.0 2024-03
REDLINE VERSION
INTERNATIONAL
STANDARD
colour
inside
Industrial communication networks – Profiles –
Part 5-12: Installation of fieldbuses – Installation profiles for CPF 12
INTERNATIONAL
ELECTROTECHNICAL
COMMISSION
ICS 25.040.40; 35.100.40 ISBN 978-2-8322-8595-4
– 2 – IEC 61784-5-12:2024 RLV © IEC 2024
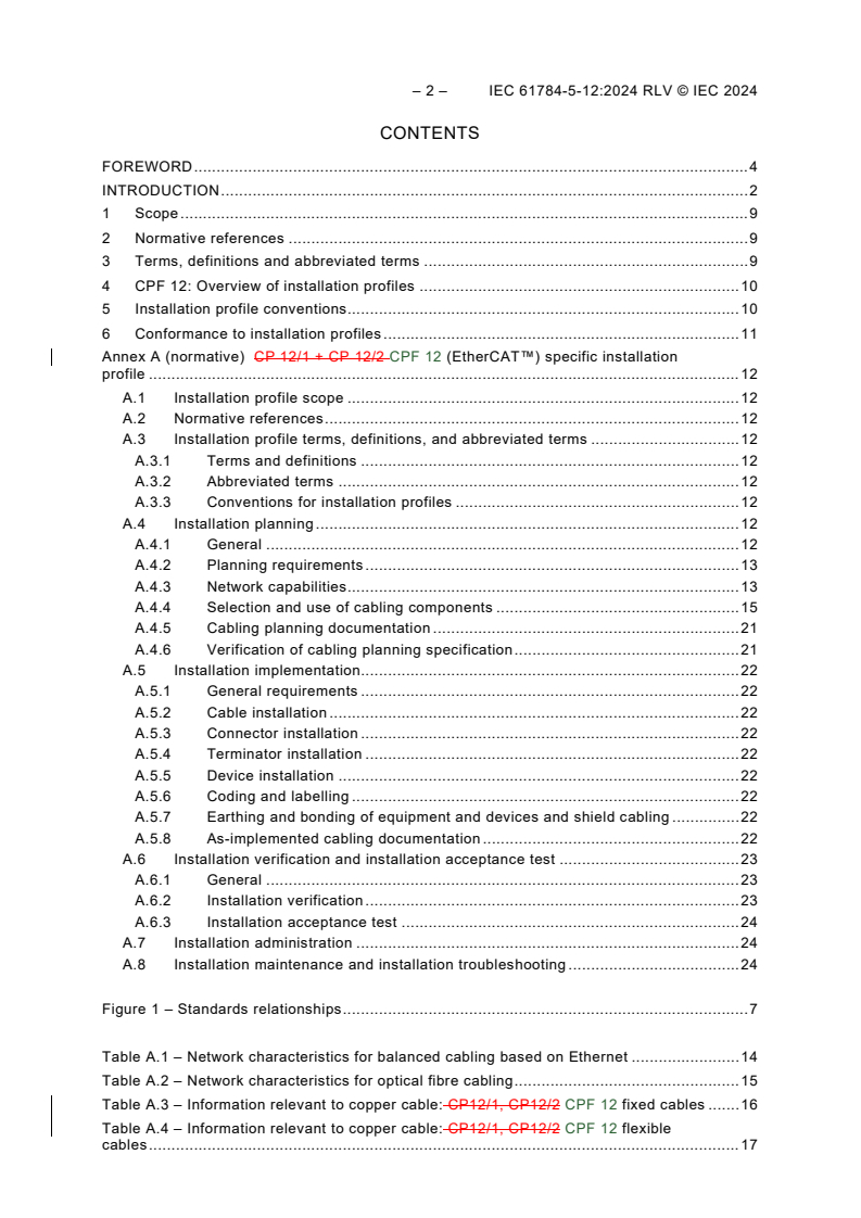
CONTENTS
FOREWORD . 4
INTRODUCTION . 2
1 Scope . 9
2 Normative references . 9
3 Terms, definitions and abbreviated terms . 9
4 CPF 12: Overview of installation profiles . 10
5 Installation profile conventions. 10
6 Conformance to installation profiles . 11
Annex A (normative) CP 12/1 + CP 12/2 CPF 12 (EtherCAT™) specific installation
profile . 12
A.1 Installation profile scope . 12
A.2 Normative references . 12
A.3 Installation profile terms, definitions, and abbreviated terms . 12
A.3.1 Terms and definitions . 12
A.3.2 Abbreviated terms . 12
A.3.3 Conventions for installation profiles . 12
A.4 Installation planning . 12
A.4.1 General . 12
A.4.2 Planning requirements . 13
A.4.3 Network capabilities . 13
A.4.4 Selection and use of cabling components . 15
A.4.5 Cabling planning documentation . 21
A.4.6 Verification of cabling planning specification . 21
A.5 Installation implementation. 22
A.5.1 General requirements . 22
A.5.2 Cable installation . 22
A.5.3 Connector installation . 22
A.5.4 Terminator installation . 22
A.5.5 Device installation . 22
A.5.6 Coding and labelling . 22
A.5.7 Earthing and bonding of equipment and devices and shield cabling . 22
A.5.8 As-implemented cabling documentation . 22
A.6 Installation verification and installation acceptance test . 23
A.6.1 General . 23
A.6.2 Installation verification . 23
A.6.3 Installation acceptance test . 24
A.7 Installation administration . 24
A.8 Installation maintenance and installation troubleshooting . 24
Figure 1 – Standards relationships . 7
Table A.1 – Network characteristics for balanced cabling based on Ethernet . 14
Table A.2 – Network characteristics for optical fibre cabling . 15
Table A.3 – Information relevant to copper cable: CP12/1, CP12/2 CPF 12 fixed cables . 16
Table A.4 – Information relevant to copper cable: CP12/1, CP12/2 CPF 12 flexible
cables . 17
Table A.5 – Information relevant to copper cable: CP12/1, CP12/2 CPF 12 special
cables . 18
Table A.6 – Information relevant to optical fibre cables: CPF 12 . 19
Table A.7 – Connectors for balanced cabling CPs based on Ethernet . 19
Table A.8 – Optical fibre connecting hardware . 20
Table A.9 – Relationship between FOC and fibre types (CP 12/1 and CP 12/2 CPF 12) . 20
– 4 – IEC 61784-5-12:2024 RLV © IEC 2024
INTERNATIONAL ELECTROTECHNICAL COMMISSION
____________
INDUSTRIAL COMMUNICATION NETWORKS –
PROFILES –
Part 5-12: Installation of fieldbuses –
Installation profiles for CPF 12
FOREWORD
1) The International Electrotechnical Commission (IEC) is a worldwide organization for standardization comprising
all national electrotechnical committees (IEC National Committees). The object of IEC is to promote international
co-operation on all questions concerning standardization in the electrical and electronic fields. To this end and
in addition to other activities, IEC publishes International Standards, Technical Specifications, Technical Reports,
Publicly Available Specifications (PAS) and Guides (hereafter referred to as “IEC Publication(s)”). Their
preparation is entrusted to technical committees; any IEC National Committee interested in the subject dealt with
may participate in this preparatory work. International, governmental and non-governmental organizations liaising
with the IEC also participate in this preparation. IEC collaborates closely with the International Organization for
Standardization (ISO) in accordance with conditions determined by agreement between the two organizations.
2) The formal decisions or agreements of IEC on technical matters express, as nearly as possible, an international
consensus of opinion on the relevant subjects since each technical committee has representation from all
interested IEC National Committees.
3) IEC Publications have the form of recommendations for international use and are accepted by IEC National
Committees in that sense. While all reasonable efforts are made to ensure that the technical content of IEC
Publications is accurate, IEC cannot be held responsible for the way in which they are used or for any
misinterpretation by any end user.
4) In order to promote international uniformity, IEC National Committees undertake to apply IEC Publications
transparently to the maximum extent possible in their national and regional publications. Any divergence between
any IEC Publication and the corresponding national or regional publication shall be clearly indicated in the latter.
5) IEC itself does not provide any attestation of conformity. Independent certification bodies provide conformity
assessment services and, in some areas, access to IEC marks of conformity. IEC is not responsible for any
services carried out by independent certification bodies.
6) All users should ensure that they have the latest edition of this publication.
7) No liability shall attach to IEC or its directors, employees, servants or agents including individual experts and
members of its technical committees and IEC National Committees for any personal injury, property damage or
other damage of any nature whatsoever, whether direct or indirect, or for costs (including legal fees) and
expenses arising out of the publication, use of, or reliance upon, this IEC Publication or any other IEC
Publications.
8) Attention is drawn to the Normative references cited in this publication. Use of the referenced publications is
indispensable for the correct application of this publication.
9) IEC draws attention to the possibility that the implementation of this document may involve the use of (a)
patent(s). IEC takes no position concerning the evidence, validity or applicability of any claimed patent rights in
respect thereof. As of the date of publication of this document, IEC had not received notice of (a) patent(s), which
may be required to implement this document. However, implementers are cautioned that this may not represent
the latest information, which may be obtained from the patent database available at https://patents.iec.ch or
www.iso.org/patents. IEC shall not be held responsible for identifying any or all such patent rights.
This redline version of the official IEC Standard allows the user to identify the changes
made to the previous edition IEC 61784-5-12:2018. A vertical bar appears in the margin
wherever a change has been made. Additions are in green text, deletions are in
strikethrough red text.
IEC 61784-5-12 has been prepared by subcommittee 65C: Industrial networks, of IEC technical
committee 65: Industrial-process measurement, control and automation. It is an International
Standard.
This document is to be used in conjunction with IEC 61918:2018, IEC 61918:2018/AMD1:2022
and IEC 61918/AMD2:2024.
This third edition cancels and replaces the second edition published in 2018. This edition
constitutes a technical revision.
This edition includes the following significant technical changes with respect to the previous
edition:
a) addition of four pair twisted cables;
b) the references to CP 12/1 and CP 12/2 are replaced by a CPF 12 reference.
The text of this International Standard is based on the following documents:
Draft Report on voting
65C1283/FDIS 65C/1297/RVD
Full information on the voting for its approval can be found in the report on voting indicated in
the above table.
The language used for the development of this International Standard is English.
This document was drafted in accordance with ISO/IEC Directives, Part 2, and developed in
accordance with ISO/IEC Directives, Part 1 and ISO/IEC Directives, IEC Supplement, available
at www.iec.ch/members_experts/refdocs. The main document types developed by IEC are
described in greater detail at www.iec.ch/publications.
A list of all parts of the IEC 61784-5 series, published under the general title Industrial networks
– Profiles – Installation of fieldbuses, can be found on the IEC website.
The committee has decided that the contents of this document will remain unchanged until the
stability date indicated on the IEC website under webstore.iec.ch in the data related to the
specific document. At this date, the document will be
• reconfirmed,
• withdrawn, or
• revised.
IMPORTANT – The "colour inside" logo on the cover page of this document indicates
that it contains colours which are considered to be useful for the correct understanding
of its contents. Users should therefore print this document using a colour printer.
– 6 – IEC 61784-5-12:2024 RLV © IEC 2024
INTRODUCTION
This document is one of a series produced to facilitate the use of communication networks in
industrial control systems.
IEC 61918:2018, IEC 61918:2018/AMD1:2022 and IEC 61918/AMD2:2024 provide the common
requirements for the installation of communication networks in industrial control systems. This
installation profile document provides the installation profiles of the communication profiles (CP)
of a specific communication profile family (CPF) by stating which requirements of IEC 61918
fully apply and, where necessary, by supplementing, modifying, or replacing the other
requirements (see Figure 1).
For general background on fieldbuses, their profiles, and relationship between the installation
profiles specified in this document, see IEC 61158-1.
Each CP installation profile is specified in a separate annex of this document. Each annex is
structured exactly as the reference standard IEC 61918 for the benefit of the persons
representing the roles in the fieldbus installation process as defined in IEC 61918 (planner,
installer, verification personnel, validation personnel, maintenance personnel, administration
personnel). By reading the installation profile in conjunction with IEC 61918, these persons
immediately know which requirements are common for the installation of all CPs and which are
modified or replaced. The conventions used to draft this document are defined in Clause 5.
The provision of the installation profiles in one standard for each CPF (for example
IEC 61784-5-12 for CPF 12) allows readers to work with standards of a convenient size.
Figure 1 – Standards relationships
– 8 – IEC 61784-5-12:2024 RLV © IEC 2024
Attention is drawn to the fact that the document IEC 61918 specifies all the installation
requirements that apply to large part of the industrial communication networks and that these
requirements automatically apply to each single network with the exception of those
requirements that in the relevant document of the IEC 61784-5 series are explicitly defined as
modified or replaced.
All the additions to the latest edition of the IEC 61918 apply to the networks of CPF 12.
INDUSTRIAL COMMUNICATION NETWORKS –
PROFILES –
Part 5-12: Installation of fieldbuses –
Installation profiles for CPF 12
1 Scope
This part of IEC 61784-5 specifies the installation profile for CPF 12 (EtherCAT™ ).
The installation profile is specified in Annex A. This annex is read in conjunction with
IEC 61918:2018, IEC 61918:2018/AMD1:2022 and IEC 61918:2018/AMD2:2024.
2 Normative references
The following documents are referred to in the text in such a way that some or all of their content
constitutes requirements of this document. For dated references, only the edition cited applies.
For undated references, the latest edition of the referenced document (including any
amendments) applies.
IEC 61918:2018 , Industrial communication networks – Installation of communication networks
in industrial premises
IEC 61918:2018/AMD1:2022
IEC 61918:2018/AMD2:2024
The normative references of IEC 61918:2018, Clause 2, apply.
NOTE For profile specific normative references, see Clause A.2.
3 Terms, definitions and abbreviated terms
For the purposes of this document, the terms, definitions, and abbreviated terms given in
IEC 61918:2018, Clause 3, IEC 61918:2018/AMD1:2022, Clause 3, and Clause A.3 of this
document apply.
ISO and IEC maintain terminology databases for use in standardization at the following
addresses:
• IEC Electropedia: available at https://www.electropedia.org/
• ISO Online browsing platform: available at https://www.iso.org/obp
NOTE For profile specific terms, definitions and abbreviated terms see Clauses A.3.
___________
EtherCAT™ is a trade name of Beckhoff, Verl. This information is given for the convenience of users of this
document and does not constitute an endorsement by IEC of the trademark holder or any of its products.
Compliance to this profile does not require use of the trade name. Use of the trade name requires permission of
the trade name holder.
The normative references of IEC 61918:2018, Clause 2, IEC 61918:2018/AMD1:2022, Clause 2 and
IEC 61918:2018/AMD2:2024, Clause 2, apply.
– 10 – IEC 61784-5-12:2024 RLV © IEC 2024
4 CPF 12: Overview of installation profiles
CPF 12 consists of two communication profiles, as specified in IEC 61784-2: —.
The installation requirements for CP 12/1 (simple EtherCAT™ I/O devices) and CP 12/2
(EtherCAT™ devices with mailbox capabilities) are identical and are specified in Annex A.
5 Installation profile conventions
The numbering of the clauses and subclauses in the annexes of this document corresponds to
the numbering of IEC 61918 main clauses and subclauses.
The annex clauses and subclauses of this document supplement, modify, or replace the
respective clauses and subclauses in IEC 61918.
Where there is no corresponding subclause of IEC 61918:2018 in the normative annexes in this
document, the subclause of IEC 61918 applies without modification.
The annex heading letter represents the installation profile assigned in Clause 4. The annex
(sub)clause numbering following the annex letter shall represent the corresponding (sub)clause
numbering of IEC 61918.
EXAMPLE "Subclause A.4.4" in IEC 61784-5-12 means that CP 12/1 and CP 12/2 specifies the Subclause 4.4 of
IEC 61918.
All main clauses of IEC 61918 are cited and apply in full unless otherwise stated in each
normative installation profile annex.
If all subclauses of a (sub)clause are omitted, then the corresponding IEC 61918 (sub)clause
applies.
If in a (sub)clause it is written "Not applicable.", then the corresponding IEC 61918 (sub)clause
does not apply.
If in a (sub)clause it is written "Addition:", then the corresponding IEC 61918 (sub)clause
applies with the additions written in the profile.
If in a (sub)clause it is written "Replacement:", then the text provided in the profile replaces the
text of the corresponding IEC 61918 (sub)clause.
NOTE A replacement can also comprise additions.
If in a (sub)clause it is written "Modification:", then the corresponding IEC 61918 (sub)clause
applies with the modifications written in the profile.
If all (sub)clauses of a (sub)clause are omitted but in this (sub)clause it is written
"(Sub)clause x has addition:" (or "replacement:") or "(Sub)clause x is not applicable.", then
(sub)clause x becomes valid as declared and all the other corresponding
IEC 61918 (sub)clauses apply.
6 Conformance to installation profiles
Each installation profile within this document includes part of the IEC 61918:2018,
IEC 61918:2018/AMD1:2022 and IEC 61918:2018/AMD2:2024. It may also include defined
additional specifications.
A statement of compliance to an installation profile of this document shall be stated as either
Compliance with IEC 61784-5-12:— 2024 for CP 12/m CPF 12 or
Compliance with IEC 61784-5-12 (Ed.2.03.0) for CP 12/m CPF 12 .
where the name within the angle brackets < > is optional and the angle brackets are shall not
to be included. The m n within CP 12/m shall be replaced by the profile number 1 or 2.
NOTE The name may can be the name of the profile, for example EtherCAT™.
If the name is a trade name, then the permission of the trade name holder shall be required.
Product standards shall not include any conformity assessment aspects (including quality
management provisions) neither normative nor informative, other than provisions for product
testing (evaluation and examination).
___________
In accordance with ISO/IEC Directives.
The date should not be used when the edition number is used.
– 12 – IEC 61784-5-12:2024 RLV © IEC 2024
Annex A
(normative)
CP 12/1 + CP 12/2 CPF 12 (EtherCAT™) specific installation profile
A.1 Installation profile scope
Addition:
This annex specifies the installation profile for Communication Profiles CP 12/1 and CP12/2
CPF 12 (EtherCAT™). The CP12/1 and CP12/2 are CPF 12 is specified in IEC 61784-2.
A.2 Normative references
Addition:
IEC 61076-2-104, Connectors for electronic equipment – Product requirements – Circular
connectors – Detail specification for circular connectors with M8 screw-locking or snap-locking
IEC 61076-2-114 , Connectors for electronic equipment – Circular connectors – Detail
specification for data and power connectors with M8 screw-locking
A.3 Installation profile terms, definitions, and abbreviated terms
A.3.1 Terms and definitions
A.3.2 Abbreviated terms
A.3.3 Conventions for installation profiles
Not applicable.
A.4 Installation planning
A.4.1 General
A.4.1.1 Objective
A.4.1.2 Cabling in industrial premises
A.4.1.3 The planning process
A.4.1.4 Specific requirements for CPs
Not applicable.
A.4.1.5 Specific requirements for generic cabling in accordance with
ISO/IEC 11801-3
___________
Under preparation. Stage at the time of publication: IEC/CDV 61076-2-114:2017.
A.4.2 Planning requirements
A.4.2.1 Safety
A.4.2.1.1 General
A.4.2.1.2 Electrical safety
A.4.2.1.3 Functional safety
A.4.2.1.4 Intrinsic safety
Not applicable.
A.4.2.1.5 Safety of optical fibre communication systems
A.4.2.2 Security
A.4.2.3 Environmental considerations and EMC
A.4.2.3.1 Description methodology
A.4.2.3.2 Use of the described environment to produce a bill of material
A.4.2.4 Specific requirements for generic cabling in accordance with
ISO/IEC 11801-3
A.4.3 Network capabilities
A.4.3.1 Network topology
A.4.3.1.1 Common description
A.4.3.1.2 Basic physical topologies for passive networks
Not applicable.
A.4.3.1.3 Basic physical topologies for active networks
Addition:
Ring topologies shall be used when cable redundancy is required.
A.4.3.1.4 Combination of basic topologies
Replacement:
The combination of basic topologies is allowed according to A.4.3.1.5.
A.4.3.1.5 Specific requirements for CPs
Addition:
Slave devices with more than two ports shall be used to combine basic active topologies.
A.4.3.1.6 Specific requirements for generic cabling in accordance with
ISO/IEC 11801-3
– 14 – IEC 61784-5-12:2024 RLV © IEC 2024
A.4.3.2 Network characteristics
A.4.3.2.1 General
A.4.3.2.2 Network characteristics for balanced cabling not based on Ethernet
Not applicable.
A.4.3.2.3 Network characteristics for balanced cabling based on Ethernet
Replacement:
Table A.1 provides values based on the template given in IEC 61918:2018, Table 2.
Table A.1 – Network characteristics for balanced cabling based on Ethernet
Characteristic CP 12/1, CP12/2 CPF 12
(EtherCAT) CPF 12 (four pair)
(two pair)
Supported data rates (Mbit/s) 100 100-5 000
b
100 100
Supported channel length (m)
a b
6 6
Number of connections in the channel (max.)
a
100 (AWG22) 100 (AWG23)
Patch cord length (m)
b
D E
Channel class per ISO/IEC 11801-3 (min.)
A
c
5 6
Cable category per ISO/IEC 11801-3 (min.)
A
Connecting HW category per ISO/IEC 11801-3 (min.) 5 6
A
Cable types No specific requirement; No specific requirement;
up to manufacturer's up to manufacturer's
differentiation differentiation
a
See A.4.4.3.2.
b
For the purpose of this table, the channel definitions of ISO/IEC 11801-3 are applicable.
c
For additional information, see IEC 61156 series.
A.4.3.2.4 Network characteristics for optical fibre cabling
Replacement:
Table A.2 provides values based on the template given in IEC 61918:2018, Table 3.
Table A.2 – Network characteristics for optical fibre cabling
CP 12/1 and CP12/2 CPF 12 (EtherCAT)
Optical fibre type Description
Single mode silica Bandwidth (MHz) or equivalent at λ (nm) 300 at 1 310
Minimum length (m) 0
a
14 000
Maximum length (m)
Maximum channel 6
insertion loss/optical power budget (dB)
See IEEE 802.3:2015, Clause 58
10 km specified
Connecting hardware See A.4.4.2.5
Multimode silica Modal bandwidth (MHz × km) at λ (nm) 600 at 1 310
Minimum length (m) 0
a
2 000
Maximum length (m)
Maximum channel 4,5
insertion loss/optical power budget (dB)
Connecting hardware See A.4.4.2.5
POF Modal bandwidth 35 at 650
(MHz × 100 m) at λ (nm)
Minimum length (m) 0,055
a
Maximum length (m)
Maximum channel 4,2
insertion loss/optical power budget (dB)
Connecting hardware See A.4.4.2.5
Hard clad silica Modal bandwidth (MHz × km) at λ (nm) 70 at 650
Minimum length (m) 0
a
Maximum length (m)
Maximum channel insertion loss/optical power 4
budget (dB)
Connecting hardware See A.4.4.2.5
a
This value is reduced by connections, splices and bends in accordance with IEC 61918:2018, Formula (1) in
4.4.3.4.1.
A.4.3.2.5 Specific network characteristics
A.4.3.2.6 Specific requirements for generic cabling in accordance with
ISO/IEC 11801-3
A.4.4 Selection and use of cabling components
A.4.4.1 Cable selection
A.4.4.1.1 Common description
A.4.4.1.2 Copper cables
A.4.4.1.2.1 Balanced cables for Ethernet-based CPs
Replacement:
Table A.3, Table A.4 and Table A.5 provide values for different cable types based on the
template given in IEC 61918:2018, Table 4.
– 16 – IEC 61784-5-12:2024 RLV © IEC 2024
Table A.3 – Information relevant to copper cable: CP12/1, CP12/2 CPF 12 fixed cables
Characteristic CP 12/1, CP12/2 (EtherCAT) CPF 12
Type A cable CPF 12 Type A cable
Type A cable (four pair)
(two pair)
Nominal impedance of cable 100 Ω ± 15 Ω (IEC 61156-5) 100 Ω ± 15 Ω (IEC 61156-5)
(tolerance)
Balanced or unbalanced Balanced Balanced
DCR of conductors ≤ 57,5 Ω/km ≤ 85 Ω/km
DCR of shield - -
Number of conductors 4 8
Shielding S/FTP, S/FTQ, S/STP S/FTP, S/STP
Colour code for conductor WH, BU / YE, OG WH|OG, OG / , WH|GR, GR /
WH|BU, BU / , WH|BR, BR
Jacket colour requirements - -
Jacket material - -
Resistance to harsh environment Application dependent Application dependent
(e.g. UV, oil resist, LS0H)
Transfer Impedance
< 50 mΩ/m at 10 MHz
Installation Type Stationary, no movement after Stationary, no movement after
installation installation
Outer cable diameter 5,5 mm – 8 mm max. 10 mm
Wire cross section AWG 22/1 AWG 23/1
Wire diameter 1,5 mm ± 0,1 mm 1,0 mm to 1,6 mm
a
≤ 20 ns/100 m ≤ 20 ns/100 m
Delay scew
a
Relevant only for networks with time-based synchronization.
Table A.4 – Information relevant to copper cable: CP12/1, CP12/2 CPF 12 flexible cables
Characteristic CP 12/1, CP12/2 (EtherCAT) CPF 12
Type B cable CPF 12 Type B cable
Type B cable (four pair)
(two pair)
Nominal impedance of cable (tolerance) 100 Ω ± 15 Ω (IEC 61156-5) 100 Ω ± 15 Ω (IEC 61156-5)
Balanced or unbalanced Balanced Balanced
DCR of conductors ≤ 57,5 Ω/km ≤ 85 Ω/km
DCR of shield - -
Number of conductors 4 8
Shielding S/FTP, S/FTQ, S/STP S/FTP, S/STP
Colour code for conductor WH, BU / YE, OG WH|OG, OG / , WH|GR, GR /
WH|BU, BU / , WH|BR, BR
Jacket colour requirements - -
Jacket material - -
Resistance to harsh environment (e.g. UV, Application dependent Application dependent
oil resist, LS0H)
Transfer Impedance < 50 mΩ/m at 10 MHz
Installation type Flexible, occasional movement Flexible, occasional movement
or vibration or vibration
Outer cable diameter 5,5 mm – 8 mm Max. 10 mm
Wire cross section AWG 22/7 AWG 23/7
Wire diameter 1,5 mm ± 0,1 mm 1,0 mm to 1,6 mm
a
≤ 20 ns/100 m ≤ 20 ns/100 m
Delay screw
a
Relevant only for networks with time-based synchronization.
– 18 – IEC 61784-5-12:2024 RLV © IEC 2024
Table A.5 – Information relevant to copper cable: CP12/1, CP12/2 CPF 12 special cables
Characteristic CP 12/1, CP12/2 (EtherCAT) CPF 12
Type C cable CPF 12 Type C cable
Type C cable (four pair)
(two pair)
Nominal impedance of cable (tolerance) 100 Ω ± 15 Ω (IEC 61156-5) 100 Ω ± 15 Ω (IEC 61156-5)
Balanced or unbalanced Balanced Balanced
DCR of conductors ≤ 57,5 Ω/km ≤ 95 Ω/km
DCR of shield - -
Number of conductors 4 8
Shielding S/FTP, S/FTQ, S/STP S/FTP, S/STP
Colour code for conductor WH, BU / YE, OG WH|OG, OG / , WH|GR, GR /
WH|BU, BU / , WH|BR, BR
Jacket colour requirements - -
Jacket material - -
Resistance to harsh environment (e.g. UV, Application dependent Application dependent
oil resist, LS0H)
Transfer Impedance < 50 mΩ/m at 10 MHz
Installation type Special applications (e.g. Special applications (e.g.
permanent movement as in drag permanent movement as in drag
chains) chains)
Outer cable diameter Application dependent Application dependent
Wire cross section AWG 22/x (x: e.g. 7 / 19) AWG 24/x (x: e.g. 7 / 19)
Wire diameter 1,5 mm ± 0,1 mm Application Application dependent
dependent
a
≤ 20 ns/100 m ≤ 20 ns/100 m
Delay screw
a
Relevant only for networks with time-based synchronization.
A.4.4.1.2.2 Copper cables for non-Ethernet-based CPs
Not applicable.
A.4.4.1.3 Cables for wireless installation
A.4.4.1.4 Optical fibre cables
Replacement:
Table A.6 provides values based on the template given in IEC 61918:2018, Table 6.
Table A.6 – Information relevant to optical fibre cables: CPF 12
Characteristic 9.10/125 µm 50/125 µm 62,5/125 µm 980/1 000 µm 200/230 µm
single mode multimode multimode step index step index hard
silica silica silica POF clad silica
Standard IEC 60793-2 IEC 60793-2 IEC 60793-2 IEC 60793-2 IEC 60793-2
Attenuation per km (650 nm) – – – ≤ 160 dB ≤ 10 dB
Attenuation per km (820 nm) – – – – –
Attenuation per km ≤ 0,5 dB ≤ 1,5 dB ≤ 1,5 dB – –
(1 310 nm)
Number of optical fibres 2 2 2 2 2
Jacket colour requirements – – – – –
Jacket material – – – – –
Resistance to harsh Application Application Application Application Application
environment (e.g. UV, oil dependent dependent dependent dependent dependent
resist, LS0H)
Connector type SC-RJ, SC-RJ, SC-RJ, SC-RJ, SC-RJ,
(duplex or simplex) SC Duplex SC Duplex SC Duplex SC Duplex SC Duplex
A.4.4.1.5 Special purpose balanced and optical fibre cables
A.4.4.1.6 Specific requirements for CPs
Not applicable.
A.4.4.1.7 Specific requirements for generic cabling in accordance with
ISO/IEC 11801-3
A.4.4.2 Connecting hardware selection
A.4.4.2.1 Common description
A.4.4.2.2 Connecting hardware for balanced cabling CPs based on Ethernet
Replacement:
Table A.7 provides values based on the template given in IEC 61918:2018, Table 7.
Table A.7 – Connectors for balanced cabling CPs based on Ethernet
a
IEC 61076 IEC 61076 IEC 61076 IEC 61076 IEC 61076
IEC 61076-3-
IEC 60603-7 series
b b c
-2-101 -2-109 -2-104
106 -3-117 -2-114
shielded un- Var. 1 Var. 6 M12-8 M12-4 M12-8 M8-4 with M8-4 with
shielded with with with A-coding P-coding
X-coding D-coding X-coding
Var. 14
CP 12/1, IEC 60603- No No No Yes Yes Yes Yes Yes
CP 12/2 7-3
CPF 12
a
For IEC 60603-7 series, the connector selection is based on the desired channel performance.
b
Housings to protect connectors.
c
Only applicable in conjunction with EtherCAT™ P.
A.4.4.2.3 Connecting hardware for copper cabling CPs not based on Ethernet
Not applicable.
– 20 – IEC 61784-5-12:2024 RLV © IEC 2024
A.4.4.2.4 Connecting hardware for wireless installation
A.4.4.2.5 Connecting hardware for optical fibre cabling
Replacement:
Table A.8 provides values based on the template given in IEC 61918:2018, Table 9.
Table A.8 – Optical fibre connecting hardware
IEC 61754-2 IEC 61754-4 IEC 61754-24 IEC 61754-20 IEC 61754-22 Others
BFOC/2,5 SC SC-RJ LC F-SMA
CP 12/1,
No Yes Yes No No No
CP 12/2
(EtherCAT)
CPF 12
NOTE IEC 61754 series defines the optical fibre connector mechanical interfaces; performance specifications
for optical fibre connectors terminated to specific fibre types are standardised in the IEC 61753 series.
Addition:
Table A.9 provides values based on the template given in IEC 61918:2018, Table 10.
Table A.9 – Relationship between FOC and fibre types (CP 12/1 and CP 12/2 CPF 12)
Fibre type
9.10/125 µm 50/125 µm 62,5/125 µm 980/1 000 µm 200/230 µm Others
FOC
single mode multimode multimode step index step index hard
silica silica silica POF clad silica
BFOC/2,5 – – – – – –
SC Yes Yes Yes Yes Yes –
SC-RJ Yes Yes Yes Yes Yes –
LC – – – – – –
F-SMA – – – – – –
A.4.4.2.6 Specific requirements for CPs
Not applicable.
A.4.4.2.7 Specific requirements for generic cabling in accordance with
ISO/IEC 11801-3
A.4.4.3 Connections within a channel/permanent link
A.4.4.4 Terminators
Not applicable.
A.4.4.5 Device location and connection
A.4.4.5.1 Common description
A.4.4.5.2 Specific requirements for CPs
Not applicable.
A.4.4.5.3 Specific requirements for wireless installation
A.4.4.5.4 Specific requirements for generic cabling in accordance with
ISO/IEC 11801-3
A.4.4.6 Coding and labelling
A.4.4.7 Earthing and bonding of equipment and devices and shielded cabling
Addition:
The shield shall be earthed and all shield earthing methods described in IEC 61918 apply.
A.4.4.8 Storage and transportation of cables
A.4.4.9 Routing of cables
A.4.4.10 Separation of circuits
Addition:
This subclause applies in principle. This means that CP12/1 and CP12/2 networks work properly
while ensuring the distances of Table 1617 provided in IEC 61918:2018.
A.4.4.11 Mechanical protection of cabling components
A.4.4.11.1 Common description
A.4.4.11.2 Specific requirements for CPs
Not applicable.
A.4.4.11.3 Specific requirements for generic cabling in accordance with
ISO/IEC 11801-3
A.4.4.12 Installation in special areas
A.4.4.12.1 Common description
A.4.4.12.2 Specific requirements for CPs
Not applicable.
A.4.4.12.3 Specific requirements for generic cabling in accordance with
ISO/IEC 11801-3
A.4.5 Cabling planning documentation
A.4.6 Verification of cabling planning specification
– 22 – IEC 61784-5-12:2024 RLV © IEC 2024
A.5 Installation implementation
A.5.1 General requirements
A.5.2 Cable installation
A.5.2.1 General requirements for all cabling types
A.5.2.2 Installation and routing
A.5.2.3 Specific requirements for CPs
Not applicable.
A.5.2.4 Specific requirements for wireless installation
A.5.2.5 Specific requirements for generic cabling in accordance with
ISO/IEC 11801-3
A.5.3 Connector installation
A.5.3.1 Common description
A.5.3.2 Shielded connectors
A.5.3.3 Unshielded connectors
A.5.3.4 Specific requirements for CPs
Not applicable.
A.5.3.5 Specific requirements for wireless installation
A.5.3.6 Specific requirements for generic cabling in accordance with
ISO/IEC 11801-3
A.5.4 Terminator installation
Not applicable.
A.5.5 Device installation
A.5.5.1 Common description
A.5.5.2 Specific requirements for CPs
Not applicable.
A.5.6 Coding and labelling
A.5.6.1 Common description
A.5.6.2 Specific requirements for CPs
Not applicable.
A.5.7 Earthing and bonding of equipment and devices and shield cabling
Subclause 5.7.5 is not applicable.
A.5.8 As-implemented cabling documentation
A.6 Installation verification and installation acceptance test
A.6.1 General
A.6.2 Installation verification
A.6.2.1 General
A.6.2.2 Verification according to cabling planning documentation
A.6.2.3 Verification of earthing and bonding
A.6.2.3.1 General
A.6.2.3.2 Specific requirements for earthing and bonding
Not applicable.
A.6.2.4 Verification of shield earthing
A.6.2.5 Verification of cabling system
A.6.2.6 Cable selection verification
A.6.2.6.1 Common description
A.6.2.6.2 Specific requirements for CPs
Not applicable.
A.6.2.6.3 Specific requirements for wireless installation
A.6.2.7 Connector verification
A.6.2.7.1 Common description
A.6.2.7.2 Specific requirements for CPs
Not applicable.
A.6.2.7.3 Specific requirements for wireless installation
A.6.2.8 Connection verification
A.6.2.8.1 Common description
A.6.2.8.2 Number of connections and connectors
A.6.2.8.3 Wire mapping
A.6.2.9 Terminator verification
Not applicable.
A.6.2.10 Coding and labelling verification
A.6.2.10.1 Common description
A.6.2.10.2 Specific coding and labelling verification requirements
Not applicable.
A.6.2.11 Verification report
– 24 – IEC 61784-5-12:2024 RLV © IEC 2024
A.6.3 Installation acceptance test
A.6.3.1 General
A.6.3.2 Acceptance test of Ethernet-based cabling
A.6.3.2.1 Validation of balanced cabling for CPs based on Ethernet
A.6.3.2.1.1 Common description
A.6.3.2.1.2 Transmission performance test parameters
A.6.3.2.1.3 Specific requirements for CPs based on Ethernet
Not applicable.
A.6.3.2.2 Validation of optical fibre cabling for CPs based on Ethernet
A.6.3.2.2.1 Common description
A.6.3.2.2.2 Specific requirements for optical fibre cabling CPs
Not applicable.
A.6.3.2.3 Specific requirements for generic cabling in accordance with
ISO/IEC 11801-3
A.6.3.3 Acceptance test of non-Ethernet-based cabling
Not applicable.
A.6.3.4 Specific requirements for wireless installation
A.6.3.5 Acceptance test report
A.7 Installation administration
Subclause 7.8 is not applicable
A.8 Installation maintenance and installation troubleshooting
Subclause 8.4 is not applicable
___________
IEC 61784-5-12 ®
Edition 3.0 2024-03
INTERNATIONAL
STANDARD
NORME
INTERNATIONALE
Industrial networks – Profiles –
Part 5-12: Installation of fieldbuses – Installation profiles for CPF 12
Réseaux industriels – Profils –
Partie 5-12: Installation des bus de terrain – Profils d’installation pour CPF 12
– 2 – IEC 61784-5-12:2024 © IEC 2024
CONTENTS
FOREWORD . 4
INTRODUCTION . 6
1 Scope . 7
2 Normative references . 7
3 Terms, definitions and abbreviated terms . 7
4 CPF 12: Overview of installation profiles . 8
5 Installation profile conventions. 8
6 Conformance to installation profiles . 9
Annex A (normative) CPF 12 (EtherCAT™) specific installation profile . 10
A.1 Installation profile scope . 10
A.2 Normative references . 10
A.3 Installation profile terms, definitions, and abbreviated terms . 10
A.3.1 Terms and definitions . 10
A.3.2 Abbreviated terms . 10
A.3.3 Conventions for installation profiles . 10
A.4 Installation planning . 10
A.4.1 General . 10
A.4.2 Planning requirements . 10
A.4.3 Network capabilities .
...
IEC 61784-5-12 ®
Edition 3.0 2024-03
INTERNATIONAL
STANDARD
NORME
INTERNATIONALE
Industrial networks – Profiles –
Part 5-12: Installation of fieldbuses – Installation profiles for CPF 12
Réseaux industriels – Profils –
Partie 5-12: Installation des bus de terrain – Profils d’installation pour CPF 12
All rights reserved. Unless otherwise specified, no part of this publication may be reproduced or utilized in any form
or by any means, electronic or mechanical, including photocopying and microfilm, without permission in writing from
either IEC or IEC's member National Committee in the country of the requester. If you have any questions about IEC
copyright or have an enquiry about obtaining additional rights to this publication, please contact the address below or
your local IEC member National Committee for further information.
Droits de reproduction réservés. Sauf indication contraire, aucune partie de cette publication ne peut être reproduite ni
utilisée sous quelque forme que ce soit et par aucun procédé, électronique ou mécanique, y compris la photocopie et
les microfilms, sans l'accord écrit de l'IEC ou du Comité national de l'IEC du pays du demandeur. Si vous avez des
questions sur le copyright de l'IEC ou si vous désirez obtenir des droits supplémentaires sur cette publication, utilisez
les coordonnées ci-après ou contactez le Comité national de l'IEC de votre pays de résidence.
IEC Secretariat Tel.: +41 22 919 02 11
3, rue de Varembé info@iec.ch
CH-1211 Geneva 20 www.iec.ch
Switzerland
About the IEC
The International Electrotechnical Commission (IEC) is the leading global organization that prepares and publishes
International Standards for all electrical, electronic and related technologies.
About IEC publications
The technical content of IEC publications is kept under constant review by the IEC. Please make sure that you have the
latest edition, a corrigendum or an amendment might have been published.
IEC publications search - webstore.iec.ch/advsearchform IEC Products & Services Portal - products.iec.ch
The advanced search enables to find IEC publications by a Discover our powerful search engine and read freely all the
variety of criteria (reference number, text, technical publications previews, graphical symbols and the glossary.
committee, …). It also gives information on projects, replaced With a subscription you will always have access to up to date
and withdrawn publications. content tailored to your needs.
IEC Just Published - webstore.iec.ch/justpublished
Electropedia - www.electropedia.org
Stay up to date on all new IEC publications. Just Published
The world's leading online dictionary on electrotechnology,
details all new publications released. Available online and once
containing more than 22 500 terminological entries in English
a month by email.
and French, with equivalent terms in 25 additional languages.
Also known as the International Electrotechnical Vocabulary
IEC Customer Service Centre - webstore.iec.ch/csc
(IEV) online.
If you wish to give us your feedback on this publication or need
further assistance, please contact the Customer Service
Centre: sales@iec.ch.
A propos de l'IEC
La Commission Electrotechnique Internationale (IEC) est la première organisation mondiale qui élabore et publie des
Normes internationales pour tout ce qui a trait à l'électricité, à l'électronique et aux technologies apparentées.
A propos des publications IEC
Le contenu technique des publications IEC est constamment revu. Veuillez vous assurer que vous possédez l’édition la
plus récente, un corrigendum ou amendement peut avoir été publié.
Recherche de publications IEC - IEC Products & Services Portal - products.iec.ch
webstore.iec.ch/advsearchform Découvrez notre puissant moteur de recherche et consultez
La recherche avancée permet de trouver des publications IEC gratuitement tous les aperçus des publications, symboles
en utilisant différents critères (numéro de référence, texte, graphiques et le glossaire. Avec un abonnement, vous aurez
comité d’études, …). Elle donne aussi des informations sur les toujours accès à un contenu à jour adapté à vos besoins.
projets et les publications remplacées ou retirées.
Electropedia - www.electropedia.org
IEC Just Published - webstore.iec.ch/justpublished
Le premier dictionnaire d'électrotechnologie en ligne au monde,
Restez informé sur les nouvelles publications IEC. Just
avec plus de 22 500 articles terminologiques en anglais et en
Published détaille les nouvelles publications parues.
français, ainsi que les termes équivalents dans 25 langues
Disponible en ligne et une fois par mois par email.
additionnelles. Egalement appelé Vocabulaire
Electrotechnique International (IEV) en ligne.
Service Clients - webstore.iec.ch/csc
Si vous désirez nous donner des commentaires sur cette
publication ou si vous avez des questions contactez-nous:
sales@iec.ch.
IEC 61784-5-12 ®
Edition 3.0 2024-03
INTERNATIONAL
STANDARD
NORME
INTERNATIONALE
Industrial networks – Profiles –
Part 5-12: Installation of fieldbuses – Installation profiles for CPF 12
Réseaux industriels – Profils –
Partie 5-12: Installation des bus de terrain – Profils d’installation pour CPF 12
INTERNATIONAL
ELECTROTECHNICAL
COMMISSION
COMMISSION
ELECTROTECHNIQUE
INTERNATIONALE
ICS 25.040.40, 35.100.40 ISBN 978-2-8322-8391-2
– 2 – IEC 61784-5-12:2024 © IEC 2024
CONTENTS
FOREWORD . 4
INTRODUCTION . 6
1 Scope . 7
2 Normative references . 7
3 Terms, definitions and abbreviated terms . 7
4 CPF 12: Overview of installation profiles . 8
5 Installation profile conventions. 8
6 Conformance to installation profiles . 9
Annex A (normative) CPF 12 (EtherCAT™) specific installation profile . 10
A.1 Installation profile scope . 10
A.2 Normative references . 10
A.3 Installation profile terms, definitions, and abbreviated terms . 10
A.3.1 Terms and definitions . 10
A.3.2 Abbreviated terms . 10
A.3.3 Conventions for installation profiles . 10
A.4 Installation planning . 10
A.4.1 General . 10
A.4.2 Planning requirements . 10
A.4.3 Network capabilities . 11
A.4.4 Selection and use of cabling components . 13
A.4.5 Cabling planning documentation . 18
A.4.6 Verification of cabling planning specification . 18
A.5 Installation implementation. 19
A.5.1 General requirements . 19
A.5.2 Cable installation . 19
A.5.3 Connector installation . 19
A.5.4 Terminator installation . 19
A.5.5 Device installation . 19
A.5.6 Coding and labelling . 19
A.5.7 Earthing and bonding of equipment and devices and shield cabling . 19
A.5.8 As-implemented cabling documentation . 19
A.6 Installation verification and installation acceptance test . 20
A.6.1 General . 20
A.6.2 Installation verification . 20
A.6.3 Installation acceptance test . 21
A.7 Installation administration . 21
A.8 Installation maintenance and installation troubleshooting . 21
Figure 1 – Standards relationships . 6
Table A.1 – Network characteristics for balanced cabling based on Ethernet . 12
Table A.2 – Network characteristics for optical fibre cabling . 13
Table A.3 – Information relevant to copper cable: CPF 12 fixed cables . 14
Table A.4 – Information relevant to copper cable: CPF 12 flexible cables. 14
Table A.5 – Information relevant to copper cable: CPF 12 special cables . 15
Table A.6 – Information relevant to optical fibre cables: CPF 12 . 16
Table A.7 – Connectors for balanced cabling CPs based on Ethernet . 16
Table A.8 – Optical fibre connecting hardware . 17
Table A.9 – Relationship between FOC and fibre types (CPF 12) . 17
– 4 – IEC 61784-5-12:2024 © IEC 2024
INTERNATIONAL ELECTROTECHNICAL COMMISSION
____________
INDUSTRIAL NETWORKS –
PROFILES –
Part 5-12: Installation of fieldbuses –
Installation profiles for CPF 12
FOREWORD
1) The International Electrotechnical Commission (IEC) is a worldwide organization for standardization comprising
all national electrotechnical committees (IEC National Committees). The object of IEC is to promote international
co-operation on all questions concerning standardization in the electrical and electronic fields. To this end and
in addition to other activities, IEC publishes International Standards, Technical Specifications, Technical Reports,
Publicly Available Specifications (PAS) and Guides (hereafter referred to as “IEC Publication(s)”). Their
preparation is entrusted to technical committees; any IEC National Committee interested in the subject dealt with
may participate in this preparatory work. International, governmental and non-governmental organizations liaising
with the IEC also participate in this preparation. IEC collaborates closely with the International Organization for
Standardization (ISO) in accordance with conditions determined by agreement between the two organizations.
2) The formal decisions or agreements of IEC on technical matters express, as nearly as possible, an international
consensus of opinion on the relevant subjects since each technical committee has representation from all
interested IEC National Committees.
3) IEC Publications have the form of recommendations for international use and are accepted by IEC National
Committees in that sense. While all reasonable efforts are made to ensure that the technical content of IEC
Publications is accurate, IEC cannot be held responsible for the way in which they are used or for any
misinterpretation by any end user.
4) In order to promote international uniformity, IEC National Committees undertake to apply IEC Publications
transparently to the maximum extent possible in their national and regional publications. Any divergence between
any IEC Publication and the corresponding national or regional publication shall be clearly indicated in the latter.
5) IEC itself does not provide any attestation of conformity. Independent certification bodies provide conformity
assessment services and, in some areas, access to IEC marks of conformity. IEC is not responsible for any
services carried out by independent certification bodies.
6) All users should ensure that they have the latest edition of this publication.
7) No liability shall attach to IEC or its directors, employees, servants or agents including individual experts and
members of its technical committees and IEC National Committees for any personal injury, property damage or
other damage of any nature whatsoever, whether direct or indirect, or for costs (including legal fees) and
expenses arising out of the publication, use of, or reliance upon, this IEC Publication or any other IEC
Publications.
8) Attention is drawn to the Normative references cited in this publication. Use of the referenced publications is
indispensable for the correct application of this publication.
9) IEC draws attention to the possibility that the implementation of this document may involve the use of (a)
patent(s). IEC takes no position concerning the evidence, validity or applicability of any claimed patent rights in
respect thereof. As of the date of publication of this document, IEC had not received notice of (a) patent(s), which
may be required to implement this document. However, implementers are cautioned that this may not represent
the latest information, which may be obtained from the patent database available at https://patents.iec.ch or
www.iso.org/patents. IEC shall not be held responsible for identifying any or all such patent rights.
IEC 61784-5-12 has been prepared by subcommittee 65C: Industrial networks, of IEC technical
committee 65: Industrial-process measurement, control and automation. It is an International
Standard.
This document is to be used in conjunction with IEC 61918:2018, IEC 61918:2018/AMD1:2022
and IEC 61918/AMD2:2024.
This third edition cancels and replaces the second edition published in 2018. This edition
constitutes a technical revision.
This edition includes the following significant technical changes with respect to the previous
edition:
a) addition of four pair twisted cables;
b) the references to CP 12/1 and CP 12/2 are replaced by a CPF 12 reference.
The text of this International Standard is based on the following documents:
Draft Report on voting
65C1283/FDIS 65C/1297/RVD
Full information on the voting for its approval can be found in the report on voting indicated in
the above table.
The language used for the development of this International Standard is English.
This document was drafted in accordance with ISO/IEC Directives, Part 2, and developed in
accordance with ISO/IEC Directives, Part 1 and ISO/IEC Directives, IEC Supplement, available
at www.iec.ch/members_experts/refdocs. The main document types developed by IEC are
described in greater detail at www.iec.ch/publications.
A list of all parts of the IEC 61784-5 series, published under the general title Industrial networks
– Profiles – Installation of fieldbuses, can be found on the IEC website.
The committee has decided that the contents of this document will remain unchanged until the
stability date indicated on the IEC website under webstore.iec.ch in the data related to the
specific document. At this date, the document will be
• reconfirmed,
• withdrawn, or
• revised.
IMPORTANT – The "colour inside" logo on the cover page of this document indicates
that it contains colours which are considered to be useful for the correct understanding
of its contents. Users should therefore print this document using a colour printer.
– 6 – IEC 61784-5-12:2024 © IEC 2024
INTRODUCTION
This document is one of a series produced to facilitate the use of communication networks in
industrial control systems.
IEC 61918:2018, IEC 61918:2018/AMD1:2022 and IEC 61918/AMD2:2024 provide the common
requirements for the installation of communication networks in industrial control systems. This
installation profile document provides the installation profiles of the communication profiles (CP)
of a specific communication profile family (CPF) by stating which requirements of IEC 61918
fully apply and, where necessary, by supplementing, modifying, or replacing the other
requirements (see Figure 1).
For general background on fieldbuses, their profiles, and relationship between the installation
profiles specified in this document, see IEC 61158-1.
Each CP installation profile is specified in a separate annex of this document. Each annex is
structured exactly as the reference standard IEC 61918 for the benefit of the persons
representing the roles in the fieldbus installation process as defined in IEC 61918 (planner,
installer, verification personnel, validation personnel, maintenance personnel, administration
personnel). By reading the installation profile in conjunction with IEC 61918, these persons
immediately know which requirements are common for the installation of all CPs and which are
modified or replaced. The conventions used to draft this document are defined in Clause 5.
The provision of the installation profiles in one standard for each CPF (for example
IEC 61784-5-12 for CPF 12) allows readers to work with standards of a convenient size.
Figure 1 – Standards relationships
INDUSTRIAL NETWORKS –
PROFILES –
Part 5-12: Installation of fieldbuses –
Installation profiles for CPF 12
1 Scope
This part of IEC 61784-5 specifies the installation profile for CPF 12 (EtherCAT™ ).
The installation profile is specified in Annex A. This annex is read in conjunction with
IEC 61918:2018, IEC 61918:2018/AMD1:2022 and IEC 61918:2018/AMD2:2024.
2 Normative references
The following documents are referred to in the text in such a way that some or all of their content
constitutes requirements of this document. For dated references, only the edition cited applies.
For undated references, the latest edition of the referenced document (including any
amendments) applies.
IEC 61918:2018 , Industrial communication networks – Installation of communication networks
in industrial premises
IEC 61918:2018/AMD1:2022
IEC 61918:2018/AMD2:2024
NOTE For profile specific normative references, see Clause A.2.
3 Terms, definitions and abbreviated terms
For the purposes of this document, the terms, definitions, and abbreviated terms given in
IEC 61918:2018, Clause 3, IEC 61918:2018/AMD1:2022, Clause 3, and Clause A.3 of this
document apply.
ISO and IEC maintain terminology databases for use in standardization at the following
addresses:
• IEC Electropedia: available at https://www.electropedia.org/
• ISO Online browsing platform: available at https://www.iso.org/obp
___________
EtherCAT™ is a trade name of Beckhoff, Verl. This information is given for the convenience of users of this
document and does not constitute an endorsement by IEC of the trademark holder or any of its products.
Compliance to this profile does not require use of the trade name. Use of the trade name requires permission of
the trade name holder.
The normative references of IEC 61918:2018, Clause 2, IEC 61918:2018/AMD1:2022, Clause 2 and
IEC 61918:2018/AMD2:2024, Clause 2, apply.
– 8 – IEC 61784-5-12:2024 © IEC 2024
4 CPF 12: Overview of installation profiles
CPF 12 consists of two communication profiles, as specified in IEC 61784-2: —.
The installation requirements for CP 12/1 (simple EtherCAT™ I/O devices) and CP 12/2
(EtherCAT™ devices with mailbox capabilities) are identical and are specified in Annex A.
5 Installation profile conventions
The numbering of the clauses and subclauses in the annexes of this document corresponds to
the numbering of IEC 61918 main clauses and subclauses.
The annex clauses and subclauses of this document supplement, modify, or replace the
respective clauses and subclauses in IEC 61918.
Where there is no corresponding subclause of IEC 61918:2018 in the normative annexes in this
document, the subclause of IEC 61918 applies without modification.
The annex heading letter represents the installation profile assigned in Clause 4. The annex
(sub)clause numbering following the annex letter shall represent the corresponding (sub)clause
numbering of IEC 61918.
EXAMPLE "Subclause A.4.4" in IEC 61784-5-12 means that CP 12/1 and CP 12/2 specifies the Subclause 4.4 of
IEC 61918.
All main clauses of IEC 61918 are cited and apply in full unless otherwise stated in each
normative installation profile annex.
If all subclauses of a (sub)clause are omitted, then the corresponding IEC 61918 (sub)clause
applies.
If in a (sub)clause it is written "Not applicable.", then the corresponding IEC 61918 (sub)clause
does not apply.
If in a (sub)clause it is written "Addition:", then the corresponding IEC 61918 (sub)clause
applies with the additions written in the profile.
If in a (sub)clause it is written "Replacement:", then the text provided in the profile replaces the
text of the corresponding IEC 61918 (sub)clause.
NOTE A replacement can also comprise additions.
If in a (sub)clause it is written "Modification:", then the corresponding IEC 61918 (sub)clause
applies with the modifications written in the profile.
If all (sub)clauses of a (sub)clause are omitted but in this (sub)clause it is written
"(Sub)clause x has addition:" (or "replacement:") or "(Sub)clause x is not applicable.", then
(sub)clause x becomes valid as declared and all the other corresponding
IEC 61918 (sub)clauses apply.
6 Conformance to installation profiles
Each installation profile within this document includes part of the IEC 61918:2018,
IEC 61918:2018/AMD1:2022 and IEC 61918:2018/AMD2:2024. It may also include defined
additional specifications.
A statement of compliance to an installation profile of this document shall be stated as either
Compliance with IEC 61784-5-12:2024 for CPF 12 or
Compliance with IEC 61784-5-12 (Ed.3.0) for CPF 12 .
where the name within the angle brackets < > is optional and the angle brackets shall not be
included.
NOTE The name can be the name of the profile, for example EtherCAT™.
If the name is a trade name, then the permission of the trade name holder shall be required.
Product standards shall not include any conformity assessment aspects (including quality
management provisions) neither normative nor informative, other than provisions for product
testing (evaluation and examination).
– 10 – IEC 61784-5-12:2024 © IEC 2024
Annex A
(normative)
CPF 12 (EtherCAT™) specific installation profile
A.1 Installation profile scope
Addition:
This annex specifies the installation profile CPF 12 (EtherCAT™). CPF 12 is specified in
IEC 61784-2.
A.2 Normative references
A.3 Installation profile terms, definitions, and abbreviated terms
A.3.1 Terms and definitions
A.3.2 Abbreviated terms
A.3.3 Conventions for installation profiles
Not applicable.
A.4 Installation planning
A.4.1 General
A.4.1.1 Objective
A.4.1.2 Cabling in industrial premises
A.4.1.3 The planning process
A.4.1.4 Specific requirements for CPs
Not applicable.
A.4.1.5 Specific requirements for generic cabling in accordance with
ISO/IEC 11801-3
A.4.2 Planning requirements
A.4.2.1 Safety
A.4.2.1.1 General
A.4.2.1.2 Electrical safety
A.4.2.1.3 Functional safety
A.4.2.1.4 Intrinsic safety
Not applicable.
A.4.2.1.5 Safety of optical fibre communication systems
A.4.2.2 Security
A.4.2.3 Environmental considerations and EMC
A.4.2.3.1 Description methodology
A.4.2.3.2 Use of the described environment to produce a bill of material
A.4.2.4 Specific requirements for generic cabling in accordance with
ISO/IEC 11801-3
A.4.3 Network capabilities
A.4.3.1 Network topology
A.4.3.1.1 Common description
A.4.3.1.2 Basic physical topologies for passive networks
Not applicable.
A.4.3.1.3 Basic physical topologies for active networks
Addition:
Ring topologies shall be used when cable redundancy is required.
A.4.3.1.4 Combination of basic topologies
Replacement:
The combination of basic topologies is allowed according to A.4.3.1.5.
A.4.3.1.5 Specific requirements for CPs
Addition:
Slave devices with more than two ports shall be used to combine basic active topologies.
A.4.3.1.6 Specific requirements for generic cabling in accordance with
ISO/IEC 11801-3
A.4.3.2 Network characteristics
A.4.3.2.1 General
A.4.3.2.2 Network characteristics for balanced cabling not based on Ethernet
Not applicable.
A.4.3.2.3 Network characteristics for balanced cabling based on Ethernet
Replacement:
Table A.1 provides values based on the template given in IEC 61918:2018, Table 2.
– 12 – IEC 61784-5-12:2024 © IEC 2024
Table A.1 – Network characteristics for balanced cabling based on Ethernet
Characteristic CPF 12 CPF 12
(two pair) (four pair)
Supported data rates (Mbit/s) 100 100-5 000
b
100 100
Supported channel length (m)
a b
6 6
Number of connections in the channel (max.)
a
100 (AWG22) 100 (AWG23)
Patch cord length (m)
b
D E
Channel class per ISO/IEC 11801-3 (min.)
A
c
5 6
Cable category per ISO/IEC 11801-3 (min.)
A
Connecting HW category per ISO/IEC 11801-3 (min.) 5 6
A
Cable types No specific requirement; No specific requirement;
up to manufacturer's up to manufacturer's
differentiation differentiation
a
See A.4.4.3.2.
b
For the purpose of this table, the channel definitions of ISO/IEC 11801-3 are applicable.
c
For additional information, see IEC 61156 series.
A.4.3.2.4 Network characteristics for optical fibre cabling
Replacement:
Table A.2 provides values based on the template given in IEC 61918:2018, Table 3.
Table A.2 – Network characteristics for optical fibre cabling
CPF 12 (EtherCAT)
Optical fibre type Description
Single mode silica Bandwidth (MHz) or equivalent at λ (nm) 300 at 1 310
Minimum length (m) 0
a
14 000
Maximum length (m)
Maximum channel 6
insertion loss/optical power budget (dB)
See IEEE 802.3:2015, Clause 58
10 km specified
Connecting hardware See A.4.4.2.5
Multimode silica Modal bandwidth (MHz × km) at λ (nm) 600 at 1 310
Minimum length (m) 0
a
2 000
Maximum length (m)
Maximum channel 4,5
insertion loss/optical power budget (dB)
Connecting hardware See A.4.4.2.5
POF Modal bandwidth 35 at 650
(MHz × 100 m) at λ (nm)
Minimum length (m) 0,055
a
Maximum length (m)
Maximum channel 4,2
insertion loss/optical power budget (dB)
Connecting hardware See A.4.4.2.5
Hard clad silica Modal bandwidth (MHz × km) at λ (nm) 70 at 650
Minimum length (m) 0
a
Maximum length (m)
Maximum channel insertion loss/optical power 4
budget (dB)
Connecting hardware See A.4.4.2.5
a
This value is reduced by connections, splices and bends in accordance with IEC 61918:2018, Formula (1) in
4.4.3.4.1.
A.4.3.2.5 Specific network characteristics
A.4.3.2.6 Specific requirements for generic cabling in accordance with
ISO/IEC 11801-3
A.4.4 Selection and use of cabling components
A.4.4.1 Cable selection
A.4.4.1.1 Common description
A.4.4.1.2 Copper cables
A.4.4.1.2.1 Balanced cables for Ethernet-based CPs
Replacement:
Table A.3, Table A.4 and Table A.5 provide values for different cable types based on the
template given in IEC 61918:2018, Table 4.
– 14 – IEC 61784-5-12:2024 © IEC 2024
Table A.3 – Information relevant to copper cable: CPF 12 fixed cables
Characteristic CPF 12 CPF 12
Type A cable Type A cable
(two pair) (four pair)
Nominal impedance of cable (tolerance) 100 Ω ± 15 Ω (IEC 61156-5) 100 Ω ± 15 Ω (IEC 61156-5)
Balanced or unbalanced Balanced Balanced
DCR of conductors ≤ 57,5 Ω/km ≤ 85 Ω/km
DCR of shield - -
Number of conductors 4 8
Shielding S/FTP, S/FTQ, S/STP S/FTP, S/STP
Colour code for conductor WH, BU / YE, OG WH|OG, OG / , WH|GR, GR /
WH|BU, BU / , WH|BR, BR
Jacket colour requirements - -
Jacket material - -
Resistance to harsh environment (e.g. UV, Application dependent Application dependent
oil resist, LS0H)
Installation type Stationary, no movement after Stationary, no movement after
installation installation
Outer cable diameter 5,5 mm – 8 mm max. 10 mm
Wire cross section AWG 22/1 AWG 23/1
Wire diameter 1,5 mm ± 0,1 mm 1,0 mm to 1,6 mm
a
≤ 20 ns/100 m ≤ 20 ns/100 m
Delay skew
a
Relevant only for networks with time-based synchronization.
Table A.4 – Information relevant to copper cable: CPF 12 flexible cables
CPF 12 CPF 12
Characteristic
Type B cable Type B cable
(two pair) (four pair)
Nominal impedance of cable (tolerance) 100 Ω ± 15 Ω (IEC 61156-5) 100 Ω ± 15 Ω (IEC 61156-5)
Balanced or unbalanced Balanced Balanced
DCR of conductors ≤ 57,5 Ω/km ≤ 85 Ω/km
DCR of shield - -
Number of conductors 4 8
Shielding S/FTP, S/FTQ, S/STP S/FTP, S/STP
Colour code for conductor WH, BU / YE, OG WH|OG, OG / , WH|GR, GR /
WH|BU, BU / , WH|BR, BR
Jacket colour requirements - -
Jacket material - -
Resistance to harsh environment (e.g. UV, Application dependent Application dependent
oil resist, LS0H)
Installation type Flexible, occasional movement Flexible, occasional movement
or vibration or vibration
Outer cable diameter 5,5 mm – 8 mm Max. 10 mm
Wire cross section AWG 22/7 AWG 23/7
Wire diameter 1,5 mm ± 0,1 mm 1,0 mm to 1,6 mm
a
≤ 20 ns/100 m ≤ 20 ns/100 m
Delay screw
a
Relevant only for networks with time-based synchronization.
Table A.5 – Information relevant to copper cable: CPF 12 special cables
Characteristic CPF 12 CPF 12
Type C cable Type C cable
(two pair) (four pair)
Nominal impedance of cable (tolerance) 100 Ω ± 15 Ω (IEC 61156-5) 100 Ω ± 15 Ω (IEC 61156-5)
Balanced or unbalanced Balanced Balanced
DCR of conductors ≤ 57,5 Ω/km ≤ 95 Ω/km
DCR of shield - -
Number of conductors 4 8
Shielding S/FTP, S/FTQ, S/STP S/FTP, S/STP
Colour code for conductor WH, BU / YE, OG WH|OG, OG / , WH|GR, GR /
WH|BU, BU / , WH|BR, BR
Jacket colour requirements - -
Jacket material - -
Resistance to harsh environment (e.g. UV, Application dependent Application dependent
oil resist, LS0H)
Installation type Special applications (e.g. Special applications (e.g.
permanent movement as in drag permanent movement as in drag
chains) chains)
Outer cable diameter Application dependent Application dependent
Wire cross section AWG 22/x (x: e.g. 7 / 19) AWG 24/x (x: e.g. 7 / 19)
Wire diameter Application dependent Application dependent
a
≤ 20 ns/100 m ≤ 20 ns/100 m
Delay screw
a
Relevant only for networks with time-based synchronization.
A.4.4.1.2.2 Copper cables for non-Ethernet-based CPs
Not applicable.
A.4.4.1.3 Cables for wireless installation
A.4.4.1.4 Optical fibre cables
Replacement:
Table A.6 provides values based on the template given in IEC 61918:2018, Table 6.
– 16 – IEC 61784-5-12:2024 © IEC 2024
Table A.6 – Information relevant to optical fibre cables: CPF 12
Characteristic 9.10/125 µm 50/125 µm 62,5/125 µm 980/1 000 µm 200/230 µm
single mode multimode multimode step index step index hard
silica silica silica POF clad silica
Standard IEC 60793-2 IEC 60793-2 IEC 60793-2 IEC 60793-2 IEC 60793-2
Attenuation per km (650 nm) – – – ≤ 160 dB ≤ 10 dB
Attenuation per km (820 nm) – – – – –
Attenuation per km ≤ 0,5 dB ≤ 1,5 dB ≤ 1,5 dB – –
(1 310 nm)
Number of optical fibres 2 2 2 2 2
Jacket colour requirements – – – – –
Jacket material – – – – –
Resistance to harsh Application Application Application Application Application
environment (e.g. UV, oil dependent dependent dependent dependent dependent
resist, LS0H)
Connector type SC-RJ, SC-RJ, SC-RJ, SC-RJ, SC-RJ,
(duplex or simplex) SC Duplex SC Duplex SC Duplex SC Duplex SC Duplex
A.4.4.1.5 Special purpose balanced and optical fibre cables
A.4.4.1.6 Specific requirements for CPs
Not applicable.
A.4.4.1.7 Specific requirements for generic cabling in accordance with
ISO/IEC 11801-3
A.4.4.2 Connecting hardware selection
A.4.4.2.1 Common description
A.4.4.2.2 Connecting hardware for balanced cabling CPs based on Ethernet
Replacement:
Table A.7 provides values based on the template given in IEC 61918:2018, Table 7.
Table A.7 – Connectors for balanced cabling CPs based on Ethernet
a
IEC 61076 IEC 61076 IEC 61076 IEC 61076 IEC 61076
IEC 61076-3-
IEC 60603-7 series
b b c
-2-101 -2-109 -2-104
106 -3-117 -2-114
shielded un- Var. 1 Var. 6 Var. 14 M12-4 M12-8 M8-4 with M8-4 with
shielded with with A-coding P-coding
D-coding X-coding
CPF 12 IEC 60603- No No No Yes Yes Yes Yes Yes
7-3
a
For IEC 60603-7 series, the connector selection is based on the desired channel performance.
b
Housings to protect connectors.
c
Only applicable in conjunction with EtherCAT™ P.
A.4.4.2.3 Connecting hardware for copper cabling CPs not based on Ethernet
Not applicable.
A.4.4.2.4 Connecting hardware for wireless installation
A.4.4.2.5 Connecting hardware for optical fibre cabling
Replacement:
Table A.8 provides values based on the template given in IEC 61918:2018, Table 9.
Table A.8 – Optical fibre connecting hardware
IEC 61754-2 IEC 61754-4 IEC 61754-24 IEC 61754-20 IEC 61754-22 Others
BFOC/2,5 SC SC-RJ LC F-SMA
CPF 12 No Yes Yes No No No
NOTE IEC 61754 series defines the optical fibre connector mechanical interfaces; performance specifications
for optical fibre connectors terminated to specific fibre types are standardised in the IEC 61753 series.
Addition:
Table A.9 provides values based on the template given in IEC 61918:2018, Table 10.
Table A.9 – Relationship between FOC and fibre types (CPF 12)
Fibre type
9.10/125 µm 50/125 µm 62,5/125 µm 980/1 000 µm 200/230 µm Others
FOC
single mode multimode multimode step index step index hard
silica silica silica POF clad silica
BFOC/2,5 – – – – – –
SC Yes Yes Yes Yes Yes –
SC-RJ Yes Yes Yes Yes Yes –
LC – – – – – –
F-SMA – – – – – –
A.4.4.2.6 Specific requirements for CPs
Not applicable.
A.4.4.2.7 Specific requirements for generic cabling in accordance with
ISO/IEC 11801-3
A.4.4.3 Connections within a channel/permanent link
A.4.4.4 Terminators
Not applicable.
A.4.4.5 Device location and connection
A.4.4.5.1 Common description
A.4.4.5.2 Specific requirements for CPs
Not applicable.
– 18 – IEC 61784-5-12:2024 © IEC 2024
A.4.4.5.3 Specific requirements for wireless installation
A.4.4.5.4 Specific requirements for generic cabling in accordance with
ISO/IEC 11801-3
A.4.4.6 Coding and labelling
A.4.4.7 Earthing and bonding of equipment and devices and shielded cabling
Addition:
The shield shall be earthed and all shield earthing methods described in IEC 61918 apply.
A.4.4.8 Storage and transportation of cables
A.4.4.9 Routing of cables
A.4.4.10 Separation of circuits
Addition:
This subclause applies in principle. This means that CP12/1 and CP12/2 networks work properly
while ensuring the distances of Table 17 provided in IEC 61918:2018.
A.4.4.11 Mechanical protection of cabling components
A.4.4.11.1 Common description
A.4.4.11.2 Specific requirements for CPs
Not applicable.
A.4.4.11.3 Specific requirements for generic cabling in accordance with
ISO/IEC 11801-3
A.4.4.12 Installation in special areas
A.4.4.12.1 Common description
A.4.4.12.2 Specific requirements for CPs
Not applicable.
A.4.4.12.3 Specific requirements for generic cabling in accordance with
ISO/IEC 11801-3
A.4.5 Cabling planning documentation
A.4.6 Verification of cabling planning specification
A.5 Installation implementation
A.5.1 General requirements
A.5.2 Cable installation
A.5.2.1 General requirements for all cabling types
A.5.2.2 Installation and routing
A.5.2.3 Specific requirements for CPs
Not applicable.
A.5.2.4 Specific requirements for wireless installation
A.5.2.5 Specific requirements for generic cabling in accordance with
ISO/IEC 11801-3
A.5.3 Connector installation
A.5.3.1 Common description
A.5.3.2 Shielded connectors
A.5.3.3 Unshielded connectors
A.5.3.4 Specific requirements for CPs
Not applicable.
A.5.3.5 Specific requirements for wireless installation
A.5.3.6 Specific requirements for generic cabling in accordance with
ISO/IEC 11801-3
A.5.4 Terminator installation
Not applicable.
A.5.5 Device installation
A.5.5.1 Common description
A.5.5.2 Specific requirements for CPs
Not applicable.
A.5.6 Coding and labelling
A.5.6.1 Common description
A.5.6.2 Specific requirements for CPs
Not applicable.
A.5.7 Earthing and bonding of equipment and devices and shield cabling
Subclause 5.7.5 is not applicable.
A.5.8 As-implemented cabling documentation
– 20 – IEC 61784-5-12:2024 © IEC 2024
A.6 Installation verification and installation acceptance test
A.6.1 General
A.6.2 Installation verification
A.6.2.1 General
A.6.2.2 Verification according to cabling planning documentation
A.6.2.3 Verification of earthing and bonding
A.6.2.3.1 General
A.6.2.3.2 Specific requirements for earthing and bonding
Not applicable.
A.6.2.4 Verification of shield earthing
A.6.2.5 Verification of cabling system
A.6.2.6 Cable selection verification
A.6.2.6.1 Common description
A.6.2.6.2 Specific requirements for CPs
Not applicable.
A.6.2.6.3 Specific requirements for wireless installation
A.6.2.7 Connector verification
A.6.2.7.1 Common description
A.6.2.7.2 Specific requirements for CPs
Not applicable.
A.6.2.7.3 Specific requirements for wireless installation
A.6.2.8 Connection verification
A.6.2.8.1 Common description
A.6.2.8.2 Number of connections and connectors
A.6.2.8.3 Wire mapping
A.6.2.9 Terminator verification
Not applicable.
A.6.2.10 Coding and labelling verification
A.6.2.10.1 Common description
A.6.2.10.2 Specific coding and labelling verification requirements
Not applicable.
A.6.2.11 Verification report
A.6.3 Installation acceptance test
A.6.3.1 General
A.6.3.2 Acceptance test of Ethernet-based cabling
A.6.3.2.1 Validation of balanced cabling for CPs based on Ethernet
A.6.3.2.1.1 Common description
A.6.3.2.1.2 Transmission performance test parameters
A.6.3.2.1.3 Specific requirements for CPs based on Ethernet
Not applicable.
A.6.3.2.2 Validation of optical fibre cabling for CPs based on Ethernet
A.6.3.2.2.1 Common description
A.6.3.2.2.2 Specific requirements for optical fibre cabling CPs
Not applicable.
A.6.3.2.3 Specific requirements for generic cabling in accordance with
ISO/IEC 11801-3
A.6.3.3 Acceptance test of non-Ethernet-based cabling
Not applicable.
A.6.3.4 Specific requirements for wireless installation
A.6.3.5 Acceptance test report
A.7 Installation administration
Subclause 7.8 is not applicable
A.8 Installation maintenance and installation troubleshooting
Subclause 8.4 is not applicable
___________
– 22 – IEC 61784-5-12:2024 © IEC 2024
SOMMAIRE
AVANT-PROPOS . 24
INTRODUCTION . 26
1 Domaine d’application . 27
2 Références normatives . 27
3 Termes, définitions et abréviations . 27
4 CPF 12: vue d’ensemble des profils d’installation . 28
5 Conventions relatives aux profils d’installation . 28
6 Conformité aux profils d’installation . 29
Annexe A (normative) Profil d’installation spécifique au CPF 12 (EtherCAT™) . 30
A.1 Domaine d’application du profil d’installation . 30
A.2 Références normatives . 30
A.3 Termes, définitions et abréviations utilisés pour le profil d’installation . 30
A.3.1 Termes et définitions . 30
A.3.2 Abréviations . 30
A.3.3 Conventions relatives aux profils d’installation . 30
A.4 Planification de l’installation . 30
A.4.1 Généralités . 30
A.4.2 Exigences de planification . 30
A.4.3 Capacités du réseau . 31
A.4.4 Sélection et utilisation de composants de câblage . 33
A.4.5 Documentation de planification du câblage . 39
A.4.6 Vérification de la spécification de planification du câblage . 39
A.5 Mise en œuvre de l’installation . 39
A.5.1 Exigences générales . 39
A.5.2
...
IEC 61784-5-12:2024 provides a detailed and comprehensive installation profile for CPF 12, specifically tailored for EtherCAT™ applications. The scope of the standard focuses on establishing a coherent framework for the installation of fieldbuses, enhancing interoperability and reliability within industrial networks. One of the primary strengths of IEC 61784-5-12:2024 is its structured approach in outlining the installation profile in Annex A. This thorough description allows users to easily implement best practices while facilitating the integration of EtherCAT™ technology into their systems. Moreover, by referencing the associated standards, IEC 61918:2018 and its amendments, this document ensures that users have access to a cohesive set of guidelines that enhance the effectiveness of their installation processes. Additionally, another key strength of this standard is its emphasis on practical application without strict adherence to specific trade names, allowing for flexibility in implementation. While it recognizes EtherCAT™ as the trade name of Beckhoff, it clarifies that compliance with the profile does not necessitate using the trademark, broadening the field of applicability for various users, which is pivotal for companies looking to adopt EtherCAT™ technology without being bound to specific brand requirements. The relevance of IEC 61784-5-12:2024 cannot be understated in today’s rapidly evolving industrial environment. As the demand for smart manufacturing and automation systems grows, this standard serves as a foundational document that guides professionals in achieving efficient and reliable EtherCAT™ installations. Its comprehensive nature supports users in addressing both current and future challenges in industrial networking, making it an essential resource for engineers, system integrators, and industrial network designers. In summary, IEC 61784-5-12:2024 stands out for its detailed installation guidance for CPF 12, promoting interoperability and practical flexibility while remaining highly relevant in the context of modern industrial networking practices.
La norme IEC 61784-5-12:2024 se concentre sur l'installation des champignons et définit un profil d'installation pour le CPF 12, spécifiquement lié à EtherCAT™. Son champ d'application est clair et bien délimité, rendant la norme pertinente pour les professionnels impliqués dans l'intégration des réseaux industriels. Un des points forts de cette norme est son annexe A, qui fournit des directives précises sur l'installation, enrichissant ainsi la compréhension et la mise en œuvre d'EtherCAT™ dans divers environnements industriels. Le fait que cette annexe soit à lire en conjonction avec d'autres normes, telles que IEC 61918:2018, permet d'assurer une approche cohérente et intégrée à l'installation de réseaux de terrain. La norme souligne l'importance d'une installation conforme, tout en clarifiant que le respect de ce profil ne nécessite pas l'utilisation du nom commercial EtherCAT™, bien que son usage soit soumis à l'autorisation du titulaire de la marque. Cela offre une flexibilité aux utilisateurs tout en maintenant des normes élevées de performance et de sécurité dans les installations industrielles. La pertinence de cette norme réside dans sa capacité à s'adapter aux besoins actuels des industries, notamment dans le contexte croissant d'automatisation et de connectivité. Les professionnels qui s’appuient sur IEC 61784-5-12:2024 bénéficieront d’une référence solide pour garantir une installation efficace et conforme des champignons au sein des systèmes utilisant EtherCAT™.
Die Norm IEC 61784-5-12:2024 bietet ein umfassendes und detailliertes Installationsprofil speziell für CPF 12 (EtherCAT™). Dieser Standard spielt eine zentrale Rolle in der Standardisierung industrieller Netzwerke, insbesondere im Hinblick auf die Installation von Feldbussen. Das Dokument beschreibt die spezifischen Anforderungen und Empfehlungen für die Installation von EtherCAT™-Systemen und bietet somit eine klare Richtlinie für Fachleute, die in der Automatisierungstechnik tätig sind. Der Umfang der Norm ist sowohl präzise als auch anpassungsfähig, sodass sie sich problemlos in bestehende Installationsstandards integrieren lässt. Die Verbindung zu anderen relevanten Normen, wie IEC 61918:2018 und deren Amendierungen, sorgt für eine durchgängige und konsistente Anwendung der Richtlinien im gesamten Installationsprozess. Ein herausragendes Merkmal der IEC 61784-5-12:2024 ist die klare Gliederung und Struktur, die es Anwendern ermöglicht, schnell die benötigten Informationen zu finden. Die umfassenden Vorgaben bezüglich der Installation von EtherCAT™-Systemen tragen dazu bei, die Effizienz und Sicherheit der Systeme zu gewährleisten. Diese Norm fördert nicht nur die Betriebstüchtigkeit, sondern auch die Interoperabilität zwischen verschiedenen Geräten und Herstellern. Die Relevanz dieser Norm kann nicht hoch genug eingeschätzt werden, da sie nicht nur den aktuellen Stand der Technik widerspiegelt, sondern auch zukünftige Entwicklungen im Bereich der industriellen Kommunikation und Automatisierung antizipiert. Für Unternehmen, die auf die Implementierung von EtherCAT™-Systemen setzen, ist die IEC 61784-5-12:2024 ein unverzichtbares Dokument, das sowohl rechtliche als auch technische Sicherheit bietet. Zusammenfassend ist die IEC 61784-5-12:2024 eine fundamentale Norm, die den Rahmen für die Installation und den Betrieb von EtherCAT™-Anwendungen bietet. Ihre umfassenden Anforderungen und klare Struktur machen sie zu einem wertvollen Tool für alle, die in der Welt der industriellen Netzwerke tätig sind.
IEC 61784-5-12:2024は、工業用ネットワークに関する標準であり、特にCPF 12(EtherCAT™)の設置プロファイルを規定しています。この標準は、特にフィールドバスのインストールに関する要件を明確にし、現代の自動化システムにおいて重要な役割を果たします。 この標準の強みは、附属書Aにおいて詳細な設置プロファイルが指定されている点です。附属書Aは、IEC 61918:2018、IEC 61918:2018/AMD1:2022 および IEC 61918:2018/AMD2:2024との関連性があり、相互に参照しながら理解することで、設置要件がより一層明確になります。このように、関連標準との整合性を考慮して作成されているため、ユーザーは一貫したガイダンスを得ることができる点が特筆すべきところです。 さらに、EtherCAT™という商標は、Beckhoff社が保有していますが、標準はこの商標がなくても遵守可能であることを明記しています。このアプローチは、世間に広く受け入れられる設置基準を推進するものであり、業界全体での採用が期待されます。 また、IEC 61784-5-12:2024は、リアルタイム通信が求められる工業用アプリケーションにおいて、EtherCAT™が果たす役割の重要性を認識しており、その実装に関する具体的なガイダンスを提供することで、技術者やエンジニアが効率よくシステムを構築できる環境を整えています。 つまり、IEC 61784-5-12:2024は、工業用ネットワークの標準化において不可欠なものであり、特にCPF 12に関連する設置基準として、実務者にとって大変有用なリソースとなっています。標準が提供する構造化された情報は、ネットワークの統一性と効率性を向上させるために必要不可欠であり、今後の工業自動化の発展に寄与することでしょう。
La norme IEC 61784-5-12:2024 se concentre sur l'installation des réseaux industriels, en fournissant des profils d'installation spécifiques pour CPF 12, notamment pour EtherCAT™. Le champ d'application de cette norme est crucial pour les professionnels du secteur des réseaux industriels, car il définit clairement les exigences et bonnes pratiques nécessaires pour une installation efficace et sécurisée des systèmes utilisant cette technologie. L'annexe A de la norme, qui détaille le profil d'installation pour CPF 12, est un atout majeur, car elle permet aux utilisateurs de s'assurer que leurs installations respectent les standards internationaux en matière de câblage et de configuration des champs. La pertinence de cette norme est également renforcée par sa compatibilité avec d'autres documents essentiels comme IEC 61918:2018 et ses amendements, ce qui favorise une approche intégrée dans la mise en œuvre des systèmes d'automatisation. Un des points forts de la norme IEC 61784-5-12:2024 réside dans sa capacité à établir une base solide pour la communication entre équipements sur un réseau EtherCAT™, tout en donnant aux utilisateurs la flexibilité de ne pas nécessairement utiliser la marque déposée, mais d'adhérer aux pratiques standardisées. Cela démontre une ouverture et un pragmatisme qui favorisent l'adoption généralisée de ces pratiques industrielles. En résumé, l'importance de la norme IEC 61784-5-12:2024 est indéniable pour quiconque impliqué dans l'installation de systèmes utilisant EtherCAT™, garantissant une communication fluide et une conformité aux meilleures pratiques du secteur.
IEC 61784-5-12:2024는 산업 네트워크의 설치 프로파일에 대한 중요한 기준으로, 특히 CPF 12(EtherCAT™)의 설치 프로파일을 구체적으로 명시하고 있습니다. 이 표준의 주된 목적은 EtherCAT™ 네트워크를 효과적으로 설치하고 운영하기 위한 지침을 제공하는 것입니다. 이 표준의 강점 중 하나는 Annex A에 명시된 설치 프로파일을 통해 사용자들이 EtherCAT™의 설치와 유지보수를 원활하게 할 수 있도록 돕는 점입니다. 이와 함께 IEC 61918:2018 및 그 개정판들과의 연계를 통해 설치 프로세스를 보다 통합적이고 일관성 있게 접근할 수 있습니다. 더불어 IEC 61784-5-12:2024는 EtherCAT™의 상표 소유자와의 관계를 명확히 하여 사용자들이 상표권을 고려하면서도 자율적으로 프로파일을 활용할 수 있는 방향성을 제공합니다. 이러한 점에서 이 표준은 산업 내에서 EtherCAT™ 관련 설치 프로세스를 표준화하는 데 기여하며, 사용자들에게 실질적인 이점을 제공합니다. 결론적으로, IEC 61784-5-12:2024는 EtherCAT™의 설치에 대한 명확한 가이드라인을 제공하여, 산업 네트워크의 일관성과 신뢰성을 향상시키는 데 매우 중요합니다.
IEC 61784-5-12:2024는 산업 네트워크에서 필드버스 설치를 위한 설치 프로필을 규정하고 있으며, 특히 CPF 12(EtherCAT™)의 설치 프로필을 명확히 하고 있습니다. 이 표준은 Annex A에서 설치 프로필을 명시하고 있으며, IEC 61918:2018 및 그 개정판과 함께 읽어야 합니다. 이 표준의 강점 중 하나는 EtherCAT™에 대한 구체적인 지침을 제공함으로써 사용자들이 필드버스를 설치할 때 필요한 정보를 체계적으로 정리해준다는 점입니다. 사용자가 EtherCAT™의 설치 요구사항을 쉽게 이해하고 준수할 수 있도록 돕는 정보가 포함되어 있습니다. 또한 IEC 61784-5-12:2024는 관련 표준과의 통합을 통해 설치 프로세스를 더욱 매끄럽게 만들어 주며, 이는 산업 자동화의 복잡성을 줄이는 데 기여합니다. 이 표준의 준수는 EtherCAT™ 상표권자의 동의를 필요로 하지 않으며, 이는 사용자에게 더 많은 유연성을 제공합니다. 결론적으로, IEC 61784-5-12:2024는 산업 네트워크에서 EtherCAT™ 설치에 대한 중요한 지침을 제공하며, 관련 표준과의 연동을 통해 사용자들이 효과적으로 설치 및 운영할 수 있도록 지원하는 중요한 자원입니다.
IEC 61784-5-12:2024は、産業ネットワークにおけるフィールドバスの設置プロファイルを対象とした重要な標準です。本標準は特にCPF 12(EtherCAT™)に関連するインストールプロファイルを定義しており、ユーザーに対して明確で実用的なガイドラインを提供しています。 この標準の強みは、その包括的なスコープにあります。IEC 61784-5-12:2024は、Annex Aにおいて具体的なインストール要件を示しており、IEC 61918:2018関連の文書と併用することで、より高い一貫性と互換性を確保しています。これにより、フィールドバスの設置が効率的かつ安全に行なえるように設計されています。 さらに、EtherCAT™という商標名はBeckhoff社の商品であり、標準文書内での使用はユーザーの便宜を図るために含まれていますが、商標権者の製品やサービスを推奨するものではありません。この点における明確性は、プロファイルの遵守が商標名の使用を必須としないことを強調し、幅広い利用を促進しています。 全体として、IEC 61784-5-12:2024は、産業界におけるフィールドバスの設置に関する最新のニーズに応えるために不可欠なリソースとなっています。その有効なガイドラインと細かい要件は、実際のアプリケーションにおいて非常に価値が高く、ETHERCAT™ を用いるシステムでの効率的な実装を実現します。
IEC 61784-5-12:2024 serves as a crucial standard in the realm of industrial networks, specifically focusing on the installation profiles for CPF 12, utilizing the EtherCAT™ protocol. The scope of this standard is vital for ensuring that the installation practices related to EtherCAT™ are consistent, reliable, and adhere to established operational parameters. The comprehensive specification in Annex A provides a detailed overview of the installation guidelines, which are fundamental for practitioners seeking to implement EtherCAT™ technology effectively. One of the primary strengths of IEC 61784-5-12:2024 is its clear alignment with existing standards, particularly IEC 61918:2018 and its amendments. By referencing these documents, this standard not only enhances its relevance but also ensures that users benefit from a broader framework that encompasses essential installation practices and safety requirements. The integration of compliance with IEC 61918 reinforces the credibility of the installation profile established in IEC 61784-5-12:2024. Additionally, the standard emphasizes the importance of proper installation techniques, which are crucial for optimizing the performance and longevity of EtherCAT™ networks. This focus on installation quality aids in minimizing potential operational disruptions, thereby reinforcing the relevance of the standard in modern industrial automation environments. Furthermore, while the standard mentions EtherCAT™ as a trademark of Beckhoff, it importantly clarifies that compliance with the standard does not necessitate the use of the trade name itself. This flexibility allows for broader adoption of the installation profile without being constrained by trademark limitations, thereby encouraging industry-wide standardization. In conclusion, IEC 61784-5-12:2024 is a pivotal document that provides clear, detailed, and relevant guidelines for the installation of EtherCAT™ systems. By establishing a standardized approach, the document supports enhanced interoperability and efficiency within industrial networks, ensuring that professionals in the field can implement these systems with confidence.
Die Norm IEC 61784-5-12:2024 bietet ein entscheidendes Installationsprofil für das Fieldbus-Protokoll CPF 12, das insbesondere EtherCAT™ betrifft. Der Geltungsbereich dieser Norm erstreckt sich auf die standardisierte Installation von EtherCAT™-Netzwerken und legt die Vorgaben für die Implementierung fest, die in Anhang A detailliert beschrieben sind. Dieser Anhang muss in Verbindung mit den Normen IEC 61918:2018 sowie den dazugehörigen Änderungen (AMD1:2022 und AMD2:2024) gelesen werden, was ein integriertes Verständnis der relevanten Installationsstandards fördert. Ein wesentlicher Stärke dieser Norm ist die klare Struktur und die detaillierte Beschreibung der Anforderungen an die Installation, die dazu beiträgt, die Interoperabilität und Zuverlässigkeit von EtherCAT™-Netzwerkinstallationen zu gewährleisten. Die Norm adressiert technische Herausforderungen und bietet Lösungsansätze, die es den Anwendern ermöglichen, qualitativ hochwertige Installationen durchzuführen. Dies wird besonders in industriellen Anwendungen geschätzt, da zuverlässige Netzwerkverbindungen für die Effizienz und Sicherheit in der Automatisierungstechnik unerlässlich sind. Die Relevanz der IEC 61784-5-12:2024 kann nicht genug betont werden, da EtherCAT™ eine weit verbreitete Technologie in der Automatisierungsindustrie darstellt. Diese Norm stellt sicher, dass die Installation von EtherCAT™-Netzwerken sowohl den aktuellen technischen Anforderungen als auch den besten Praktiken entspricht. Somit dient sie als wertvolle Ressource für Ingenieure und Techniker, die an der Planung, Installation und Wartung solcher Systeme beteiligt sind. Insgesamt spiegelt die IEC 61784-5-12:2024 die Notwendigkeit wider, einheitliche Standards für die Installation von Industrial Networks zu implementieren, was letztlich zur Verbesserung der Industriepraktiken beiträgt und die Nutzung von EtherCAT™ effektiv unterstützt.














Questions, Comments and Discussion
Ask us and Technical Secretary will try to provide an answer. You can facilitate discussion about the standard in here.
Loading comments...