ASTM F2602-18
(Test Method)Standard Test Method for Determining the Molar Mass of Chitosan and Chitosan Salts by Size Exclusion Chromatography with Multi-angle Light Scattering Detection (SEC-MALS)
Standard Test Method for Determining the Molar Mass of Chitosan and Chitosan Salts by Size Exclusion Chromatography with Multi-angle Light Scattering Detection (SEC-MALS)
SIGNIFICANCE AND USE
4.1 The degree of deacetylation of chitosan, as well at the molar mass and molar mass distribution, determines the functionality of chitosan in an application. For instance, functional and biological effects are highly dependent upon the composition and molar mass of the polymer.
4.2 This test method describes procedures for measurement of molar mass of chitosan chlorides and glutamates, and chitosan base, although it in principle applies to any chitosan salt. The measured molar mass is that for chitosan acetate, since the mobile phase contains acetate as counter ion. This value can further be converted into the corresponding molar mass for the chitosan as a base, or the parent salt form (chloride or glutamate).
4.3 Light scattering is one of very few methods available for the determination of absolute molar mass and structure, and it is applicable over the broadest range of molar masses of any method. Combining light scattering detection with size exclusion chromatography (SEC), which sorts molecules according to size, gives the ability to analyze polydisperse samples, as well as obtaining information on branching and molecular conformation. This means that both the number-average and mass-average values for molar mass and size may be obtained for most samples. Furthermore, one has the ability to calculate the distributions of the molar masses and sizes.
4.4 Multi-angle laser light scattering (MALS) is a technique where measurements of scattered light are made simultaneously over a range of different angles. MALS detection can be used to obtain information on molecular size, since this parameter is determined by the angular variation of the scattered light. Molar mass may in principle be determined by detecting scattered light at a single low angle (LALLS). However, advantages with MALS as compared to LALLS are: (1) less noise at larger angles, (2) precision of measurements is improved by detecting at several angles, and (3) the ability to detect angular v...
SCOPE
1.1 This test method covers the determination of the molar mass of chitosan and chitosan salts intended for use in biomedical and pharmaceutical applications as well as in tissue engineered medical products (TEMPs) by size exclusion chromatography with multi-angle laser light scattering detection (SEC-MALS). A guide for the characterization of chitosan salts has been published as Guide F2103.
1.2 Chitosan and chitosan salts used in TEMPs should be well characterized, including the molar mass and polydispersity (molar mass distribution) in order to ensure uniformity and correct functionality in the final product. This test method will assist end users in choosing the correct chitosan for their particular application. Chitosan may have utility as a scaffold or matrix material for TEMPs, in cell and tissue encapsulation applications, and in drug delivery formulations.
1.3 The values stated in SI units are to be regarded as standard. No other units of measurement are included in this standard.
1.4 This standard does not purport to address all of the safety concerns, if any, associated with its use. It is the responsibility of the user of this standard to establish appropriate safety, health, and environmental practices and determine the applicability of regulatory limitations prior to use.
1.5 This international standard was developed in accordance with internationally recognized principles on standardization established in the Decision on Principles for the Development of International Standards, Guides and Recommendations issued by the World Trade Organization Technical Barriers to Trade (TBT) Committee.
General Information
- Status
- Published
- Publication Date
- 31-May-2018
- Technical Committee
- F04 - Medical and Surgical Materials and Devices
- Drafting Committee
- F04.42 - Biomaterials and Biomolecules for TEMPs
Relations
- Effective Date
- 01-Jun-2018
- Effective Date
- 01-Jun-2018
- Effective Date
- 01-Mar-2011
- Effective Date
- 01-Feb-2007
- Effective Date
- 01-Feb-2007
- Effective Date
- 01-Feb-2007
- Effective Date
- 10-May-2001
Overview
ASTM F2602-18 provides a standardized test method for determining the molar mass of chitosan and chitosan salts using size exclusion chromatography coupled with multi-angle light scattering detection (SEC-MALS). This method is essential in the characterization of chitosan materials, particularly for their use in biomedical and pharmaceutical applications, including tissue engineered medical products (TEMPs). The standard enables accurate measurement of both mass-average and number-average molar mass, as well as the distribution of molar masses (polydispersity), which are critical factors influencing the functionality and safety of chitosan-based products.
Key Topics
- Chitosan Characterization: Detailed procedures for measuring the molar mass and polydispersity of chitosan and its salts (chloride, glutamate, and base forms).
- Significance of Molar Mass: Molar mass and degree of deacetylation directly affect chitosan’s functional and biological properties.
- SEC-MALS Technique: Integrates size exclusion chromatography for size-based separation with multi-angle light scattering for absolute mass determination.
- Detection and Data Analysis: Use of refractive index and MALS detectors ensures precise, reproducible measurements across a wide range of molar masses.
- Conversion of Results: Provides methods to report molar mass as chitosan acetate and convert to other salt or base forms as needed.
Applications
The ASTM F2602-18 test method supports various applications across the biomedical and pharmaceutical sectors where chitosan is used, such as:
- Tissue Engineering: Accurate characterization of chitosan ensures uniformity and reliability in use as scaffolds or matrices for cell and tissue growth in medical devices and regenerative medicine.
- Drug Delivery Systems: Understanding molar mass helps optimize chitosan for controlled release, encapsulation, or targeted delivery applications.
- Biopharmaceutical Manufacturing: Routine quality control of chitosan starting materials to meet stringent performance and safety requirements in injectable therapies and medical devices.
- Research and Development: Facilitates rigorous material selection for new biomedical innovations by providing a reliable assessment of polymer properties.
Related Standards
- ASTM F2103: Guide for Characterization and Testing of Chitosan Salts as Starting Materials Intended for Use in Biomedical and Tissue-Engineered Medical Product Applications.
- USP <621> Chromatography: General chapter on chromatography relevant for instrumentation and procedural consistency.
- NIST SP811: Guide for the Use of the International System of Units (SI), referenced for proper units of measurement and data reporting.
- ISO 80000-9:2009: Physical chemistry and molecular physics standards for quantity and unit definitions, supporting clarity in polymer molar mass determination.
Practical Value
- Assures Consistency and Safety: Regular use of ASTM F2602-18 helps manufacturers ensure batch-to-batch consistency of chitosan materials, crucial for regulatory approval and patient safety.
- Enables Informed Material Selection: Provides end-users (e.g., medical device designers, drug formulators) with reproducible data to select the appropriate chitosan grade for their specific application.
- Supports Regulatory Compliance: Aligns with international standardization principles, facilitating worldwide acceptance of testing and reporting protocols.
By following ASTM F2602-18, laboratories and manufacturers can reliably assess the molar mass of chitosan and chitosan salts, contributing to the safety, efficacy, and regulatory acceptance of advanced biomedical products.
Buy Documents
ASTM F2602-18 - Standard Test Method for Determining the Molar Mass of Chitosan and Chitosan Salts by Size Exclusion Chromatography with Multi-angle Light Scattering Detection (SEC-MALS)
REDLINE ASTM F2602-18 - Standard Test Method for Determining the Molar Mass of Chitosan and Chitosan Salts by Size Exclusion Chromatography with Multi-angle Light Scattering Detection (SEC-MALS)
Get Certified
Connect with accredited certification bodies for this standard

BSI Group
BSI (British Standards Institution) is the business standards company that helps organizations make excellence a habit.

TÜV Rheinland
TÜV Rheinland is a leading international provider of technical services.

TÜV SÜD
TÜV SÜD is a trusted partner of choice for safety, security and sustainability solutions.
Sponsored listings
Frequently Asked Questions
ASTM F2602-18 is a standard published by ASTM International. Its full title is "Standard Test Method for Determining the Molar Mass of Chitosan and Chitosan Salts by Size Exclusion Chromatography with Multi-angle Light Scattering Detection (SEC-MALS)". This standard covers: SIGNIFICANCE AND USE 4.1 The degree of deacetylation of chitosan, as well at the molar mass and molar mass distribution, determines the functionality of chitosan in an application. For instance, functional and biological effects are highly dependent upon the composition and molar mass of the polymer. 4.2 This test method describes procedures for measurement of molar mass of chitosan chlorides and glutamates, and chitosan base, although it in principle applies to any chitosan salt. The measured molar mass is that for chitosan acetate, since the mobile phase contains acetate as counter ion. This value can further be converted into the corresponding molar mass for the chitosan as a base, or the parent salt form (chloride or glutamate). 4.3 Light scattering is one of very few methods available for the determination of absolute molar mass and structure, and it is applicable over the broadest range of molar masses of any method. Combining light scattering detection with size exclusion chromatography (SEC), which sorts molecules according to size, gives the ability to analyze polydisperse samples, as well as obtaining information on branching and molecular conformation. This means that both the number-average and mass-average values for molar mass and size may be obtained for most samples. Furthermore, one has the ability to calculate the distributions of the molar masses and sizes. 4.4 Multi-angle laser light scattering (MALS) is a technique where measurements of scattered light are made simultaneously over a range of different angles. MALS detection can be used to obtain information on molecular size, since this parameter is determined by the angular variation of the scattered light. Molar mass may in principle be determined by detecting scattered light at a single low angle (LALLS). However, advantages with MALS as compared to LALLS are: (1) less noise at larger angles, (2) precision of measurements is improved by detecting at several angles, and (3) the ability to detect angular v... SCOPE 1.1 This test method covers the determination of the molar mass of chitosan and chitosan salts intended for use in biomedical and pharmaceutical applications as well as in tissue engineered medical products (TEMPs) by size exclusion chromatography with multi-angle laser light scattering detection (SEC-MALS). A guide for the characterization of chitosan salts has been published as Guide F2103. 1.2 Chitosan and chitosan salts used in TEMPs should be well characterized, including the molar mass and polydispersity (molar mass distribution) in order to ensure uniformity and correct functionality in the final product. This test method will assist end users in choosing the correct chitosan for their particular application. Chitosan may have utility as a scaffold or matrix material for TEMPs, in cell and tissue encapsulation applications, and in drug delivery formulations. 1.3 The values stated in SI units are to be regarded as standard. No other units of measurement are included in this standard. 1.4 This standard does not purport to address all of the safety concerns, if any, associated with its use. It is the responsibility of the user of this standard to establish appropriate safety, health, and environmental practices and determine the applicability of regulatory limitations prior to use. 1.5 This international standard was developed in accordance with internationally recognized principles on standardization established in the Decision on Principles for the Development of International Standards, Guides and Recommendations issued by the World Trade Organization Technical Barriers to Trade (TBT) Committee.
SIGNIFICANCE AND USE 4.1 The degree of deacetylation of chitosan, as well at the molar mass and molar mass distribution, determines the functionality of chitosan in an application. For instance, functional and biological effects are highly dependent upon the composition and molar mass of the polymer. 4.2 This test method describes procedures for measurement of molar mass of chitosan chlorides and glutamates, and chitosan base, although it in principle applies to any chitosan salt. The measured molar mass is that for chitosan acetate, since the mobile phase contains acetate as counter ion. This value can further be converted into the corresponding molar mass for the chitosan as a base, or the parent salt form (chloride or glutamate). 4.3 Light scattering is one of very few methods available for the determination of absolute molar mass and structure, and it is applicable over the broadest range of molar masses of any method. Combining light scattering detection with size exclusion chromatography (SEC), which sorts molecules according to size, gives the ability to analyze polydisperse samples, as well as obtaining information on branching and molecular conformation. This means that both the number-average and mass-average values for molar mass and size may be obtained for most samples. Furthermore, one has the ability to calculate the distributions of the molar masses and sizes. 4.4 Multi-angle laser light scattering (MALS) is a technique where measurements of scattered light are made simultaneously over a range of different angles. MALS detection can be used to obtain information on molecular size, since this parameter is determined by the angular variation of the scattered light. Molar mass may in principle be determined by detecting scattered light at a single low angle (LALLS). However, advantages with MALS as compared to LALLS are: (1) less noise at larger angles, (2) precision of measurements is improved by detecting at several angles, and (3) the ability to detect angular v... SCOPE 1.1 This test method covers the determination of the molar mass of chitosan and chitosan salts intended for use in biomedical and pharmaceutical applications as well as in tissue engineered medical products (TEMPs) by size exclusion chromatography with multi-angle laser light scattering detection (SEC-MALS). A guide for the characterization of chitosan salts has been published as Guide F2103. 1.2 Chitosan and chitosan salts used in TEMPs should be well characterized, including the molar mass and polydispersity (molar mass distribution) in order to ensure uniformity and correct functionality in the final product. This test method will assist end users in choosing the correct chitosan for their particular application. Chitosan may have utility as a scaffold or matrix material for TEMPs, in cell and tissue encapsulation applications, and in drug delivery formulations. 1.3 The values stated in SI units are to be regarded as standard. No other units of measurement are included in this standard. 1.4 This standard does not purport to address all of the safety concerns, if any, associated with its use. It is the responsibility of the user of this standard to establish appropriate safety, health, and environmental practices and determine the applicability of regulatory limitations prior to use. 1.5 This international standard was developed in accordance with internationally recognized principles on standardization established in the Decision on Principles for the Development of International Standards, Guides and Recommendations issued by the World Trade Organization Technical Barriers to Trade (TBT) Committee.
ASTM F2602-18 is classified under the following ICS (International Classification for Standards) categories: 11.120.10 - Medicaments. The ICS classification helps identify the subject area and facilitates finding related standards.
ASTM F2602-18 has the following relationships with other standards: It is inter standard links to ASTM F2602-13, ASTM F2103-18, ASTM F2103-11, ASTM F2103-01(2007)e2, ASTM F2103-01(2007)e1, ASTM F2103-01(2007), ASTM F2103-01. Understanding these relationships helps ensure you are using the most current and applicable version of the standard.
ASTM F2602-18 is available in PDF format for immediate download after purchase. The document can be added to your cart and obtained through the secure checkout process. Digital delivery ensures instant access to the complete standard document.
Standards Content (Sample)
This international standard was developed in accordance with internationally recognized principles on standardization established in the Decision on Principles for the
Development of International Standards, Guides and Recommendations issued by the World Trade Organization Technical Barriers to Trade (TBT) Committee.
Designation: F2602 − 18
Standard Test Method for
Determining the Molar Mass of Chitosan and Chitosan Salts
by Size Exclusion Chromatography with Multi-angle Light
Scattering Detection (SEC-MALS)
This standard is issued under the fixed designation F2602; the number immediately following the designation indicates the year of
original adoption or, in the case of revision, the year of last revision. A number in parentheses indicates the year of last reapproval. A
superscript epsilon (´) indicates an editorial change since the last revision or reapproval.
1. Scope 2. Referenced Documents
1.1 This test method covers the determination of the molar 2.1 ASTM Standards:
mass of chitosan and chitosan salts intended for use in F2103 Guide for Characterization and Testing of Chitosan
biomedical and pharmaceutical applications as well as in tissue Salts as Starting Materials Intended for Use in Biomedical
engineered medical products (TEMPs) by size exclusion chro- and Tissue-Engineered Medical Product Applications
matography with multi-angle laser light scattering detection
2.2 National Institute of Standards and Technology:
(SEC-MALS).Aguideforthecharacterizationofchitosansalts
NIST SP811 Special Publication: Guide for the Use of the
has been published as Guide F2103.
International System of Units (SI)
2.3 ISO Document:
1.2 Chitosan and chitosan salts used in TEMPs should be
well characterized, including the molar mass and polydisper- ISO 80000-9:2009 Quantities and units – Part 9: Physical
chemistry and molecular physics
sity(molarmassdistribution)inordertoensureuniformityand
correct functionality in the final product. This test method will
3. Terminology
assist end users in choosing the correct chitosan for their
particular application. Chitosan may have utility as a scaffold
3.1 Definitions:
or matrix material for TEMPs, in cell and tissue encapsulation
3.1.1 chitosan, n—a linear polysaccharide consisting of
applications, and in drug delivery formulations.
β(1→4) linked 2-acetamido-2-deoxy-D-glucopyranose (Glc-
NAc) and 2-amino-2-deoxy-D-glucopyranose (GlcN). Chito-
1.3 The values stated in SI units are to be regarded as
san is a polysaccharide derived by N-deacetylation of chitin.
standard. No other units of measurement are included in this
standard.
3.1.1.1 chitin, n—a linear polysaccharide consisting of
β(1→4) linked 2-acetamido-2-deoxy-D-glucopyranose.
1.4 This standard does not purport to address all of the
safety concerns, if any, associated with its use. It is the
3.1.2 degree of deacetylation, n—the fraction or percentage
responsibility of the user of this standard to establish appro-
of glucosamine units (GlcN: deacetylated monomers) in a
priate safety, health, and environmental practices and deter-
chitosan polymer molecule.
mine the applicability of regulatory limitations prior to use.
3.1.3 molar mass average, n—the given molar mass (M) of
1.5 This international standard was developed in accor-
a chitosan will always represent an average of all of the
dance with internationally recognized principles on standard-
molecules in the population. The most common ways to
ization established in the Decision on Principles for the
Development of International Standards, Guides and Recom-
mendations issued by the World Trade Organization Technical 2
For referenced ASTM standards, visit the ASTM website, www.astm.org, or
Barriers to Trade (TBT) Committee. contact ASTM Customer Service at service@astm.org. For Annual Book of ASTM
Standards volume information, refer to the standard’s Document Summary page on
the ASTM website.
1 3
This test method is under the jurisdiction ofASTM Committee F04 on Medical Available from National Institute of Standards and Technology (NIST), 100
and Surgical Materials and Devices and is the direct responsibility of Subcommittee Bureau Dr., Stop 1070, Gaithersburg, MD 20899-1070, http://physics.nist.gov/cuu/
F04.42 on Biomaterials and Biomolecules for TEMPs. Units/bibliography.html.
Current edition approved June 1, 2018. Published August 2018. Originally Available from International Organization for Standardization (ISO), ISO
approved in 2008. Last previous edition approved in 2013 as F2602–13. DOI: Central Secretariat, BIBC II, Chemin de Blandonnet 8, CP 401, 1214 Vernier,
10.1520/F2602-18. Geneva, Switzerland, http://www.iso.org.
Copyright © ASTM International, 100 Barr Harbor Drive, PO Box C700, West Conshohocken, PA 19428-2959. United States
F2602 − 18
¯
expressthemolarmassareasthe number average(M )andthe (1) less noise at larger angles, (2) precision of measurements is
n
¯
mass average (M ). The two averages are defined by the improved by detecting at several angles, and (3) the ability to
w
following equations: detect angular variation allows determination of size,
branching, aggregation, and molecular conformation.
N M w M N M
i i i i i i
(i (i (i
¯ ¯
M 5 and M 5 5 (1)
n w
4.5 Sizeexclusionchromatographyusescolumns,whichare
N w N M
(i i (i i (i i i
typically packed with polymer particles containing a network
where:
of uniform pores into which solute and solvent molecules can
diffuse. While in the pores, molecules are effectively trapped
N = number of molecules having a specific molar mass M,
i i
and removed from the flow of the mobile phase. The average
and
residence time in the pores depends upon the size of the solute
w = mass of molecules having a specific molar mass M.
i i
molecules. Molecules that are larger than the average pore size
3.1.3.1 Discussion—In a disperse molecular population the
of the packing are excluded and experience virtually no
¯ ¯ ¯ ¯
relation M > M is always valid. The ratio M /M is referred
w n w n
retention; these are eluted first, in the void volume of the
to as the dispersity, and will typically be in the range 1.5 to 3.0
column. Molecules, which may penetrate the pores will have a
for commercial chitosans.
larger volume available for diffusion, they will be retained in
NOTE 1—The term molecular weight (abbreviated MW) is obsolete and the column for a time dependent upon their molecular size,
should be replaced by the SI (Système Internationale) equivalent of either
with smaller molecules eluting after larger molecules.
relative molecular mass (M ), which reflects the dimensionless ratio of the
r
4.6 For polyelectrolytes, dialysis against the elution buffer
mass of a single molecule to an atomic mass unit (see ISO 80000-9:2009),
or molar mass (M), which refers to the mass of a mole of a substance and
has been suggested, in order to eliminate Donnan-type artifacts
is typically expressed as grams/mole. For polymers and other
in the molar mass determination by light scattering (1, 2).
macromolecules, use of the symbols M , M , and M continue, referring
w n z
However, in the present method, the size exclusion chroma-
to mass-average molar mass, number-average molar mass, and z-average
tography step preceding the light scatter detection is an
molar mass, respectively. For more information regarding proper utiliza-
efficient substitute for a dialysis step. The sample is separated
tion of SI units, see NIST SP811.
onSECcolumnswithlargeexcessofelutionbufferfor30to40
4. Significance and Use
min, and it is therefore in full equilibrium with the elution
buffer when it reaches the MALS detector.
4.1 The degree of deacetylation of chitosan, as well at the
molar mass and molar mass distribution, determines the
functionality of chitosan in an application. For instance,
5. Materials
functional and biological effects are highly dependent upon the
5.1 Chemicals:
composition and molar mass of the polymer.
5.1.1 Chitosan or chitosan salt sample.
4.2 This test method describes procedures for measurement
5.1.2 Deionized water (Milli-Q Plus or equivalent; conduc-
of molar mass of chitosan chlorides and glutamates, and
tivity < 10 µS/cm).
chitosan base, although it in principle applies to any chitosan
5.1.3 CH COONH (ammonium acetate).
3 4
salt. The measured molar mass is that for chitosan acetate,
5.1.4 Pullulan standards. (See Note 2.)
since the mobile phase contains acetate as counter ion. This
NOTE 2—A series of linear homopolysaccharides with sufficiently
value can further be converted into the corresponding molar
narrow dispersity to be suitable for utilization as molar mass calibration
massforthechitosanasabase,ortheparentsaltform(chloride
standards in aqueous eluent.
or glutamate).
5.2 Mobile Phase:
4.3 Lightscatteringisoneofveryfewmethodsavailablefor
5.2.1 For SEC-MALS of chitosan and chitosan salts, a
the determination of absolute molar mass and structure, and it
mobile phase stock solution of 0.40 mol/L CH COONH in
3 4
is applicable over the broadest range of molar masses of any
deionized water is prepared. Adjust the pH to 4.5 using acetic
method. Combining light scattering detection with size exclu-
acid.
sion chromatography (SEC), which sorts molecules according
5.2.2 The mobile phase stock solution can be stored cool (3
to size, gives the ability to analyze polydisperse samples, as
to 8°C) for 6 months. Before use as a mobile phase, the stock
well as obtaining information on branching and molecular
solution is diluted 1:1 (v/v) with deionized water and passed
conformation. This means that both the number-average and
through a 0.22 µm filter.
mass-average values for molar mass and size may be obtained
5.3 Instruments:
for most samples. Furthermore, one has the ability to calculate
the distributions of the molar masses and sizes. 5.3.1 Analytical balance (0.1 mg).
5.3.2 Shaking device.
4.4 Multi-angle laser light scattering (MALS) is a technique
5.3.3 pH meter.
where measurements of scattered light are made simultane-
5.3.4 High performance liquid chromatography (HPLC)
ously over a range of different angles. MALS detection can be
system with injector, pump, degassing unit.
used to obtain information on molecular size, since this
parameter is determined by the angular variation of the
scattered light. Molar mass may in principle be determined by
detecting scattered light at a single low angle (LALLS).
The boldface numbers in parentheses refer to a list of references at the end of
However, advantages with MALS as compared to LALLS are: this standard.
F2602 − 18
TABLE 2 Suggestions for Concentration and Injected Mass of
5.3.5 Size exclusion columns: TSK-Gel PW columns
XL
Chitosan Glutamate Samples for SEC-MALS
from Tosoh Biosep., for example, PW -guard column +
XL
Apparent Viscosity Concentration for
G6000 PW + G5000 PW + G3000 PW (last in the
A
XL XL XL Injected Mass
as Chitosan Glutamate Injection
(mg)
series), or equivalent.
(mPas) (mg/mL)
5.3.6 Refractive Index (RI) detector, with a known calibra-
<10 1.5 0.3
tion constant (dn/dV). 10–50 1 0.2
>50 0.75 0.15
5.3.7 Multiple Angle Laser Light Scattering (MALS)
A
Injected mass = Concentration*200 µL.
detector, with known calibration constant.
5.3.8 Computer with suitable software.
TABLE 3 Suggestions for Concentration and Injected Mass of
6. Procedure
Chitosan Base Samples for SEC-MALS
6.1 Preparation of Standards and Chitosan Salt Samples for
Apparent Viscosity Concentration for
Injected
SEC-MALS:
A
as Chitosan Acetate Injection
Mass
(mg)
6.1.1 Samples are prepared at a concentration suitable for (mPas) (mg/mL)
injection of 200 µL of sample (see Table 1and Table 2). <100 0.75 0.15
100–500 0.5 0.1
6.1.2 Dissolve all samples in deionized water at twice the
>500 0.375 0.075
required concentration for molar mass determination by shak-
A
Injected mass = Concentration*200 µL.
-1
ingatabout100min overnightatcooltemperature(3to8°C).
6.1.3 Dilute samples 1:1 with stock solution of mobile
phase and shake gently for a few seconds.
6.1.4 Pass all samples through a 0.45 µm filter, and transfer
6.3.2 Pullulan standards should be injected and analyzed
to HPLC vials.
with 2 replicates before and after all chitosan samples (total of
6.1.5 Final concentration of pullulan standards of known
4 replicates). Three (3) replicates should be injected for
¯
M values of approximately 11 800 to 47 300, 112 000,
w
chitosans.
212 000, and 404 000 g/mol should be approximately 4, 3, 2,
6.3.3 A procedure for setting up the chromatography run
and 1.5 mg/mL, respectively.
and collecting the data is given below:
6.1.6 Guidelines for final concentration of chitosans for
6.3.3.1 Use a flow rate of 0.5 mL/min.
molar mass determination are given in Table 1. If SEC-MALS
6.3.3.2 Purge the injector with mobile phase before the
dataisnotreproduciblewithrespecttoreplicates,thismightbe
sample set is run.
an indication of column overload. In this case, the sample
6.3.3.3 Purge the RI-detector for at least 30 min (at 0.5
should be diluted prior to injection.
mL/min) before start of the run.
6.2 Preparation of Chitosan Base Samples for SEC-MALS:
6.3.3.4 Confirm that both the MALS detector and RI detec-
6.2.1 Samples are prepared at a concentration suitable for tor have stable and low baseline levels.
injection of 200 µL of sample (Table 3).
6.3.3.5 Define the collection set-up as follows:
6.2.2 Dissolve the chitosan base in 1 % (volume/volume) (1) Inject 200 µL of sample.
acetic acid toa1% (weight/volume) solution by shaking at
(2) After a collection delay of 10 mL(20 min), data should
-1
about 100 min overnight at cool temperature (3 to 8°C). becollectedfrombothdetectorsevery2secondsfor40mL(80
6.2.3 Dilute samples in mobile phase (2 mol/L ammonium
min).
acetate,notstocksolution)totherequiredconcentration(Table (3) Use dn/dc = 0.148 mL/g and 0.142 mL/g for pullulans
3) and shake gently for a few seconds.
and chitosans, respectively (relevant only for calculations).
-4 -2
6.2.4 Filter all samples through a 0.45 µm filter, and transfer (4) Useasecondvirialcoefficientof2*10 mol.mL.g and
-3 -2
to HPLC vials.
5*10 mol.mL.g for pullulans and chitosans, respectively
(relevant only for calculations).
6.3 Chromatography and Data Collection:
6.3.4 After all samples have been run, purge the injector
6.3.1 The complete experimental setup of the SEC-MALS
with deionized water to wash off remaining salt from the
system is shown in Fig. 1. The refractive index detector is
valves.
placed at the end of the solvent/sample line as it is highly
sensitive to pressure changes. 6.4 Data Analysis:
6.4.1 Data analysis follows closely recommended proce-
dures for SEC-MALS data. Generally, the chromatograms are
TABLE 1 Suggestions for Concentration and Injected Mass of
divided into a number of volume elements, defined by the peak
Chitosan Chloride Samples for SEC-MALS
width, the rate of data collection and the flow rate. The
Apparent Viscosity Concentration for
A
Injected Mass
concentration of the sample in each volume element (c)is
as Chitosan Chloride Injection i
(mg)
(mPas) (mg/mL)
determined from the RI-detector response using known values
<10 2 0.4
of dn/dc and dn/dV (the RI-detector calibration constant).
10–50 1 0.2
Furthermore, LS-detector response is divided by c, the molar
50–100 0.75 0.15
massineachvolumee
...
This document is not an ASTM standard and is intended only to provide the user of an ASTM standard an indication of what changes have been made to the previous version. Because
it may not be technically possible to adequately depict all changes accurately, ASTM recommends that users consult prior editions as appropriate. In all cases only the current version
of the standard as published by ASTM is to be considered the official document.
Designation: F2602 − 13 F2602 − 18
Standard Test Method for
Determining the Molar Mass of Chitosan and Chitosan Salts
by Size Exclusion Chromatography with Multi-angle Light
Scattering Detection (SEC-MALS)
This standard is issued under the fixed designation F2602; the number immediately following the designation indicates the year of
original adoption or, in the case of revision, the year of last revision. A number in parentheses indicates the year of last reapproval. A
superscript epsilon (´) indicates an editorial change since the last revision or reapproval.
1. Scope
1.1 This test method covers the determination of the molar mass of chitosan and chitosan salts intended for use in biomedical
and pharmaceutical applications as well as in tissue engineered medical products (TEMPs) by size exclusion chromatography with
multi-angle laser light scattering detection (SEC-MALS). A guide for the characterization of chitosan salts has been published as
Guide F2103.
1.2 Chitosan and chitosan salts used in TEMPs should be well characterized, including the molar mass and polydispersity
(molar mass distribution) in order to ensure uniformity and correct functionality in the final product. This test method will assist
end users in choosing the correct chitosan for their particular application. Chitosan may have utility as a scaffold or matrix material
for TEMPs, in cell and tissue encapsulation applications, and in drug delivery formulations.
1.3 The values stated in SI units are to be regarded as standard. No other units of measurement are included in this standard.
1.4 This standard does not purport to address all of the safety concerns, if any, associated with its use. It is the responsibility
of the user of this standard to establish appropriate safety safety, health, and healthenvironmental practices and determine the
applicability of regulatory limitations prior to use.
1.5 This international standard was developed in accordance with internationally recognized principles on standardization
established in the Decision on Principles for the Development of International Standards, Guides and Recommendations issued
by the World Trade Organization Technical Barriers to Trade (TBT) Committee.
2. Referenced Documents
2.1 ASTM Standards:
F2103 Guide for Characterization and Testing of Chitosan Salts as Starting Materials Intended for Use in Biomedical and
Tissue-Engineered Medical Product Applications
2.2 United States Pharmacopeia/National Formulary:
<621> Chromatography
2.2 National Institute of Standards and Technology:
NIST SP811 Special Publication: Guide for the Use of the International System of Units (SI)
2.3 ISO Document:
ISO 80000-9:2009 Quantities and units – Part 9: Physical chemistry and molecular physics
3. Terminology
3.1 Definitions:
This test method is under the jurisdiction of ASTM Committee F04 on Medical and Surgical Materials and Devices and is the direct responsibility of Subcommittee
F04.42 on Biomaterials and Biomolecules for TEMPs.
Current edition approved Aug. 1, 2013June 1, 2018. Published September 2013August 2018. Originally approved in 2008. Last previous edition approved in 20082013
ε1
as F2602–08–13. . DOI: 10.1520/F2602-13.10.1520/F2602-18.
For referenced ASTM standards, visit the ASTM website, www.astm.org, or contact ASTM Customer Service at service@astm.org. For Annual Book of ASTM Standards
volume information, refer to the standard’s Document Summary page on the ASTM website.
Available from United States Pharmacopeia and National Formulary, U.S. Pharmaceutical Convention, Inc. (USPC), Rockville, MD.
Available from National Institute of Standards and Technology (NIST), 100 Bureau Dr., Stop 1070, Gaithersburg, MD 20899-1070, http://physics.nist.gov/cuu/Units/
bibliography.html.
Available from International Organization for Standardization (ISO), ISO Central Secretariat, BIBC II, Chemin de Blandonnet 8, CP 401, 1214 Vernier, Geneva,
Switzerland, http://www.iso.org.
Copyright © ASTM International, 100 Barr Harbor Drive, PO Box C700, West Conshohocken, PA 19428-2959. United States
F2602 − 18
3.1.1 chitosan, n—a linear polysaccharide consisting of β(1→4) linked 2-acetamido-2-deoxy-D-glucopyranose (GlcNAc) and
2-amino-2-deoxy-D-glucopyranose (GlcN). Chitosan is a polysaccharide derived by N-deacetylation of chitin.
3.1.1.1 chitin, n—a linear polysaccharide consisting of β(1→4) linked 2-acetamido-2-deoxy-D-glucopyranose.
3.1.2 degree of deacetylation, n—the fraction or percentage of glucosamine units (GlcN: deacetylated monomers) in a chitosan
polymer molecule.
3.1.3 molar mass average, n—the given molar mass (M) of a chitosan will always represent an average of all of the molecules
in the population. The most common ways to express the molar mass are as the number average (M¯ ) and the mass average (M¯ ).
n w
The two averages are defined by the following equations:
N M w M N M
(i i i (i i i (i i i
¯ ¯
M 5 and M 5 5 (1)
n w
N w N M
i i i i
(i (i (i
where:
N = number of molecules having a specific molar mass M , and
i i
w = mass of molecules having a specific molar mass M .
i i
3.1.3.1 Discussion—
In a polydispersedisperse molecular population the relation M¯ > M¯ is always valid. The coefficientratio M¯ /M¯ is referred
w n w n
to as the polydispersity index, dispersity, and will typically be in the range 1.5 to 3.0 for commercial chitosans.
NOTE 1—The term molecular weight (abbreviated MW) is obsolete and should be replaced by the SI (Système Internationale) equivalent of either
relative molecular mass (M ), which reflects the dimensionless ratio of the mass of a single molecule to an atomic mass unit (see ISO 31-8),80000-9:2009),
r
or molar mass (M), which refers to the mass of a mole of a substance and is typically expressed as grams/mole. For polymers and other macromolecules,
use of the symbols M ,M , and M continue, referring to mass-average molar mass, number-average molar mass, and z-average molar mass, respectively.
w n z
For more information regarding proper utilization of SI units, see NIST SP811.
4. Significance and Use
4.1 The degree of deacetylation of chitosan, as well at the molar mass and molar mass distribution, determines the functionality
of chitosan in an application. For instance, functional and biological effects are highly dependent upon the composition and molar
mass of the polymer.
4.2 This test method describes procedures for measurement of molar mass of chitosan chlorides and glutamates, and chitosan
base, although it in principle applies to any chitosan salt. The measured molar mass is that for chitosan acetate, since the mobile
phase contains acetate as counter ion. This value can further be converted into the corresponding molar mass for the chitosan as
a base, or the parent salt form (chloride or glutamate).
4.3 Light scattering is one of very few methods available for the determination of absolute molar mass and structure, and it is
applicable over the broadest range of molar masses of any method. Combining light scattering detection with size exclusion
chromatography (SEC), which sorts molecules according to size, gives the ability to analyze polydisperse samples, as well as
obtaining information on branching and molecular conformation. This means that both the number-average and mass-average
values for molar mass and size may be obtained for most samples. Furthermore, one has the ability to calculate the distributions
of the molar masses and sizes.
4.4 Multi-angle laser light scattering (MALS) is a technique where measurements of scattered light are made simultaneously
over a range of different angles. MALS detection can be used to obtain information on molecular size, since this parameter is
determined by the angular variation of the scattered light. Molar mass may in principle be determined by detecting scattered light
at a single low angle (LALLS). However, advantages with MALS as compared to LALLS are: (1) less noise at larger angles, (2)
the precision of measurements are greatly is improved by detecting at several angles, and (3) the ability to detect angular variation
allows determination of size, branching, aggregation, and molecular conformation.
4.5 Size exclusion chromatography uses columns, which are typically packed with polymer particles containing a network of
uniform pores into which solute and solvent molecules can diffuse. While in the pores, molecules are effectively trapped and
removed from the flow of the mobile phase. The average residence time in the pores depends upon the size of the solute molecules.
Molecules that are larger than the average pore size of the packing are excluded and experience virtually no retention; these are
eluted first, in the void volume of the column. Molecules, which may penetrate the pores will have a larger volume available for
diffusion, they will suffer retention depending on be retained in the column for a time dependent upon their molecular size, with
the smaller molecules eluting last.after larger molecules.
F2602 − 18
4.6 For polyelectrolytes, dialysis against the elution buffer has been suggested, in order to eliminate Donnan-type artifacts in
the molar mass determination by light scattering (1, 2). However, in the present method, the size exclusion chromatography step
preceding the light scatter detection is an efficient substitute for a dialysis step. The sample is separated on SEC columns with large
excess of elution buffer for 30 to 40 min, and it is therefore in full equilibrium with the elution buffer when it reaches the MALS
detector.
5. Materials
5.1 Chemicals:
5.1.1 Chitosan or chitosan salt sample.
5.1.2 Deionized water (Milli-Q Plus or equivalent; conductivity < 10 μS/cm).
5.1.3 CH COONH (ammonium acetate).
3 4
5.1.4 Pullulan standards. (See Note 2.)
NOTE 2—A series of linear homopolysaccharides with sufficiently narrow dispersity to be suitable for utilization as molar mass calibration standards
in aqueous eluent.
5.2 Mobile Phase:
5.2.1 For SEC-MALS of chitosan and chitosan salts, a mobile phase stock solution of 0.40 mol/L CH COONH in deionized
3 4
water is prepared. Adjust the pH to 4.5 using acetic acid.
5.2.2 The mobile phase stock solution can be stored cool (3 to 8°C) for 6 months. Before use as a mobile phase, the stock
solution is diluted 1:1 (v/v) with deionized water and passed through a 0.22 μm filter.
5.3 Instruments:
5.3.1 Analytical balance (0.1 mg).
5.3.2 Shaking device.
5.3.3 pH meter.
5.3.4 HPLC High performance liquid chromatography (HPLC) system with injector, pump, degassing unit.
5.3.5 Size exclusion columns: TSK-Gel PW columns from Tosoh Biosep., for example, PW -guard column + G6000
XL XL
PW + G5000 PW + G3000 PW (last in the series), or equivalent.
XL XL XL
5.3.6 Refractive Index (RI) detector, with a known calibration constant (dn/dV).
5.3.7 Multiple Angle Laser Light Scattering (MALS) detector, with known calibration constant.
5.3.8 Computer with suitable software.
6. Procedure
6.1 Preparation of Standards and Chitosan Salt Samples for SEC-MALS:
6.1.1 Samples are prepared at a concentration suitable for injection of 200 μL of sample.sample (see Table 1and Table 2).
6.1.2 Dissolve all samples in deionized water at twice the required concentration for molar mass determination by shaking at
-1
about 100 min overnight at cool temperature (3 to 8°C).
6.1.3 Dilute samples 1+11:1 with stock solution of mobile phase and shake gently for a few seconds.
6.1.4 Pass all samples through a 0.45 μm filter, and transfer to HPLC vials.
6.1.5 Final concentration of pullulan standards of known M¯ values of approximately 11 800 to 47 300, 112 000, 212 000, and
w
404 000 g/mol should be approximately 4, 3, 2, and 1.5 mg/mL, respectively.
6.1.6 Guidelines for final concentration of chitosans for molar mass determination are given in Table 1. If SEC-MALS data
display poor reproducibilityis not reproducible with respect to replicates, this might be an indication of column overload. In this
case, lessthe sample should be injected.diluted prior to injection.
6.2 Preparation of Chitosan Base Samples for SEC-MALS:
6.2.1 Samples are prepared at a concentration suitable for injection of 200 μL of sample.sample (Table 3).
TABLE 1 Suggestions for Concentration and Injected Mass of
Chitosan Chloride Samples for SEC-MALS
Apparent Viscosity Concentration for
A
Injected Mass
as Chitosan Chloride Injection
(mg)
(mPas) (mg/mL)
<10 2 0.4
10–50 1 0.2
50–100 0.75 0.15
>100 0.5 0.1
A
Injected mass = Concentration*200 μL.
The boldface numbers in parentheses refer to a list of references at the end of this standard.
F2602 − 18
TABLE 2 Suggestions for Concentration and Injected Mass of
Chitosan Glutamate Samples for SEC-MALS
Apparent Viscosity Concentration for
A
Injected Mass
as Chitosan Glutamate Injection
(mg)
(mPas) (mg/mL)
<10 1.5 0.3
10–50 1 0.2
>50 0.75 0.15
A
Injected mass = Concentration*200 μL.
TABLE 3 Suggestions for Concentration and Injected Mass of
Chitosan Base Samples for SEC-MALS
Apparent Viscosity Concentration for
Injected
A
as Chitosan Acetate Injection
Mass
(mg)
(mPas) (mg/mL)
<100 0.75 0.15
100–500 0.5 0.1
>500 0.375 0.075
A
Injected mass = Concentration*200 μL.
6.2.2 Dissolve the chitosan base in 1 % 1 % (volume/volume) acetic acid to a 1 % 1 % (weight/volume) solution by shaking
-1
at about 100 min overnight at cool temperature (3 to 8°C).
6.2.3 Dilute samples in mobile phase (Note—2(2 mol/L ammonium acetate, not stock solution) to the required concentration
(Table 3) and shake gently for a few seconds.
6.2.4 Filter all samples through a 0.45 μm filter, and transfer to HPLC vials.
6.3 Chromatography and Data Collection:
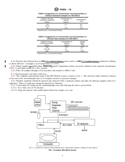
6.3.1 The complete experimental setup of the SEC-MALS system is shown in Fig. 1. The refractive index detector is placed
at the end of the solvent/sample line as it is highly sensitive to pressure changes.
6.3.2 Pullulan standards should be injected and analyzed with 2 replicates before and after all chitosan samples (total of 4
replicates). Three (3) replicates should be injected for chitosans.
6.3.3 A procedure for setting up the chromatography run and collecting the data is given below:
6.3.3.1 Use a flow rate of 0.5 mL/min.
6.3.3.2 Purge the injector with mobile phase before the sample set is run.
NOTE 1—Solid lines indicate solvent/sample flow, dashed lines indicate cabling for data transfer.
FIG. 1 Complete SEC-MALS Set-Up
F2602 − 18
6.3.3.3 Purge the RI-detector for at least 30 min (at 0.5 mL/min) before start of the run.
6.3.3.4 Confirm that both the MALS detector and RI detector has a have stable and low baseline level.levels.
6.3.3.5 Define the collection set-up as follows:
(1) Inject 200 μL of sample.
(2) After a collection delay of 10 mL (20 min), data should be collected from both detectors every 2 seconds for 40 mL (80
min).
(3) Use dn/dc = 0.148 mL/g and 0.142 mL/g for pullulans and chitosans, respectively (relevant only for calculations).
-4 -2 -3 -2
(4) Use a second virial coefficient of 2*10 mol.mL.g and 5*10 mol.mL.g for pullulans and chitosans, respectively
(relevant only for calculations).
6.3.4 After all samples have been run, purge the injector with deionized water to wash off remaining salt from the valves.
6.4 Data Analysis:
6.4.1 Data analysis follows closely recommended procedures for SEC-MALS data. Generally, the chromatograms are divided
into a number of volume elements, defined by the peak width, the rate of data collection and the flow rate. Concentration The
concentration of the sample in each volume element (c ) is determined from the RI-detector resp
...








Questions, Comments and Discussion
Ask us and Technical Secretary will try to provide an answer. You can facilitate discussion about the standard in here.
Loading comments...