ISO TS 23359:2025
(Main)Nanotechnologies - Chemical characterization of graphene-related two-dimensional materials from powders and liquid dispersions
Nanotechnologies - Chemical characterization of graphene-related two-dimensional materials from powders and liquid dispersions
ISO TS 23359:2025, which is a Technical Specification, describes methods for characterising the chemical properties of powders or liquid dispersions containing graphene-related two-dimensional materials, using a set of suitable measurement techniques.
This document covers the determination of elemental composition, oxygen to carbon ratio, trace metal impurities, weight percentage of chemical species and functional groups present, by use of the following techniques:
• X-ray photoelectron spectroscopy (XPS);
• thermogravimetric analysis (TGA);
• inductively coupled plasma mass spectrometry (ICP-MS);
• Fourier-transform infrared spectroscopy (FTIR).
This document covers sample preparation, protocols and data analysis for the different techniques.
Nanotechnologies - Caractérisation chimique des matériaux bidimensionnels similaires au graphène à partir de poudres et de dispersions liquides
Le présent document spécifie les méthodes de caractérisation des propriétés chimiques des poudres ou des dispersions liquides contenant des matériaux bidimensionnels similaires au graphène (GR2M), à l’aide d’un ensemble de techniques de mesurage appropriées.
Le présent document couvre la détermination de la composition élémentaire, le rapport oxygène/carbone, les traces d’impuretés métalliques, le pourcentage en poids des espèces chimiques et les groupes fonctionnels présents, en employant les techniques suivantes:
- spectroscopie de photoélectrons par rayons X (XPS);
- analyse thermogravimétrique (ATG);
- spectrométrie de masse à plasma à couplage inductif (ICP-MS);
- spectroscopie infrarouge à transformée de Fourier (spectrométrie FTIR).
Le présent document couvre la préparation des échantillons, les protocoles et l’analyse des données pour les différentes techniques
General Information
- Status
- Published
- Publication Date
- 26-Aug-2025
- Technical Committee
- TC 113 - Nanotechnology for electrotechnical products and systems
- Drafting Committee
- JWG 2 - TC 113/JWG 2
- Current Stage
- PPUB - Publication issued
- Start Date
- 28-Aug-2025
- Completion Date
- 09-Oct-2025
Overview
ISO/TS 23359:2025 (Technical Specification) defines standardized methods for the chemical characterization of powders and liquid dispersions containing graphene-related two-dimensional materials (GR2Ms). Published 2025, this document specifies sample preparation, measurement protocols and data analysis for a suite of complementary analytical techniques to determine elemental composition, oxygen-to-carbon (O/C) ratio, trace metal impurities, weight percentage of chemical species, and functional groups in GR2M samples.
Key measurement techniques covered:
- X-ray photoelectron spectroscopy (XPS) - surface elemental analysis (note: H and He not detected; analysis depth ≈ up to 10 nm).
- Thermogravimetric analysis (TGA) - bulk mass-change profiling to quantify volatiles, functional groups and impurity mass fractions.
- Inductively coupled plasma mass spectrometry (ICP‑MS) - trace metal impurity detection (requires complete sample digestion/solubilization).
- Fourier-transform infrared spectroscopy (FTIR) - identification of functional groups in materials with non-carbon elements, used alongside other techniques.
Key Topics
- Scope and sample types: powders and liquid dispersions of graphene nanoplatelets, graphene oxide, reduced graphene oxide and chemically functionalized GR2Ms.
- Sample preparation protocols: guidance for preparing powders and dispersions for XPS, TGA, ICP‑MS (including acid/microwave digestion) and FTIR.
- Instrument setup and method steps: best-practice procedures, instrument conditioning and measurement sequences for reproducible results.
- Quantitative data analysis: approaches for determining elemental percentages, O/C ratios, mass-percentage losses (TGA) and trace metal concentrations (ICP‑MS).
- Reporting requirements: standardized reporting formats and performance checks; includes summaries of interlaboratory studies for method validation.
Applications
ISO/TS 23359:2025 is practical for:
- Quality control and acceptance testing of GR2Ms in manufacturing.
- Research laboratories characterizing material chemistry for device and composite development (e.g., energy storage, sensors, electronics, composites).
- Regulatory and safety assessments requiring standardized chemical characterization data.
- Suppliers and buyers who need consistent, comparable specifications of graphene-related materials.
Users & Benefits
Typical users include material scientists, analytical labs, QC engineers, suppliers, and regulatory bodies. Benefits:
- Improved reproducibility and comparability of chemical data across labs.
- Informed material selection by linking chemistry (O/C, functional groups, metal impurities) to application performance.
- Streamlined product specification, acceptance testing and supply-chain confidence.
Related standards
Normative and supporting references include ISO standards on XPS and nanotechnology vocabulary, for example:
- ISO 15472, ISO 16129, ISO 18115-1, ISO 20903, ISO 21270, ISO 24237
- ISO 80004-1, ISO/TS 80004-6, ISO/TS 80004-13
Keywords: ISO TS 23359:2025, graphene characterization, nanotechnologies, XPS, TGA, ICP‑MS, FTIR, oxygen-to-carbon ratio, trace metal analysis, sample preparation protocols.
ISO TS 23359:2025 - Nanotechnologies - Chemical characterization of graphene-related two-dimensional materials from powders and liquid dispersions Released:27. 08. 2025
ISO TS 23359:2025 - Nanotechnologies - Caractérisation chimique des matériaux bidimensionnels similaires au graphène à partir de poudres et de dispersions liquides Released:27. 08. 2025
Frequently Asked Questions
ISO TS 23359:2025 is a technical specification published by the International Electrotechnical Commission (IEC). Its full title is "Nanotechnologies - Chemical characterization of graphene-related two-dimensional materials from powders and liquid dispersions". This standard covers: ISO TS 23359:2025, which is a Technical Specification, describes methods for characterising the chemical properties of powders or liquid dispersions containing graphene-related two-dimensional materials, using a set of suitable measurement techniques. This document covers the determination of elemental composition, oxygen to carbon ratio, trace metal impurities, weight percentage of chemical species and functional groups present, by use of the following techniques: • X-ray photoelectron spectroscopy (XPS); • thermogravimetric analysis (TGA); • inductively coupled plasma mass spectrometry (ICP-MS); • Fourier-transform infrared spectroscopy (FTIR). This document covers sample preparation, protocols and data analysis for the different techniques.
ISO TS 23359:2025, which is a Technical Specification, describes methods for characterising the chemical properties of powders or liquid dispersions containing graphene-related two-dimensional materials, using a set of suitable measurement techniques. This document covers the determination of elemental composition, oxygen to carbon ratio, trace metal impurities, weight percentage of chemical species and functional groups present, by use of the following techniques: • X-ray photoelectron spectroscopy (XPS); • thermogravimetric analysis (TGA); • inductively coupled plasma mass spectrometry (ICP-MS); • Fourier-transform infrared spectroscopy (FTIR). This document covers sample preparation, protocols and data analysis for the different techniques.
ISO TS 23359:2025 is classified under the following ICS (International Classification for Standards) categories: 07.120 - Nanotechnologies. The ICS classification helps identify the subject area and facilitates finding related standards.
You can purchase ISO TS 23359:2025 directly from iTeh Standards. The document is available in PDF format and is delivered instantly after payment. Add the standard to your cart and complete the secure checkout process. iTeh Standards is an authorized distributor of IEC standards.
Standards Content (Sample)
Technical
Specification
ISO/TS 23359
First edition
Nanotechnologies — Chemical
2025-08
characterization of graphene-
related two-dimensional materials
from powders and liquid
dispersions
Nanotechnologies — Caractérisation chimique des matériaux
bidimensionnels similaires au graphène à partir de poudres et de
dispersions liquides
Reference number
ISO/TS 23359:2025(en) © ISO 2025
ISO/TS 23359:2025(en)
© ISO 2025
All rights reserved. Unless otherwise specified, or required in the context of its implementation, no part of this publication may
be reproduced or utilized otherwise in any form or by any means, electronic or mechanical, including photocopying, or posting on
the internet or an intranet, without prior written permission. Permission can be requested from either ISO at the address below
or ISO’s member body in the country of the requester.
ISO copyright office
CP 401 • Ch. de Blandonnet 8
CH-1214 Vernier, Geneva
Phone: +41 22 749 01 11
Email: copyright@iso.org
Website: www.iso.org
Published in Switzerland
ii
ISO/TS 23359:2025(en)
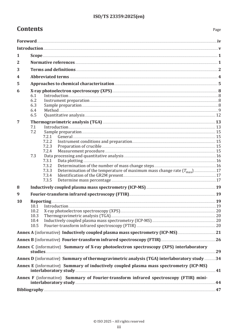
Contents Page
Foreword .iv
Introduction .v
1 Scope . 1
2 Normative references . 1
3 Terms and definitions . 2
4 Abbreviated terms . 4
5 Approaches to chemical characterization . 5
6 X-ray photoelectron spectroscopy (XPS) . 8
6.1 Introduction .8
6.2 Instrument preparation .8
6.3 Sample preparation .8
6.4 Method .9
6.5 Quantitative analysis . 12
7 Thermogravimetric analysis (TGA) .13
7.1 Introduction . 13
7.2 Sample preparation . 15
7.2.1 General . 15
7.2.2 Instrument conditions and preparation . . 15
7.2.3 Preparation of crucible . 15
7.2.4 Measurement procedure . 15
7.3 Data processing and quantitative analysis .16
7.3.1 Data plotting .16
7.3.2 Determination of the number of mass change steps .16
7.3.3 Determination of the temperature of maximum mass change rate (T ) .17
max
7.3.4 Identification of the GR2M present .17
7.3.5 Determine mass percentage .17
8 Inductively coupled plasma mass spectrometry (ICP-MS) . 19
9 Fourier-transform infrared spectroscopy (FTIR). 19
10 Reporting . 19
10.1 Introduction .19
10.2 X-ray photoelectron spectroscopy (XPS) . 20
10.3 Thermogravimetric analysis (TGA). 20
10.4 Inductively coupled plasma mass spectrometry (ICP-MS) . 20
10.5 Fourier-transform infrared spectroscopy (FTIR) . 20
Annex A (informative) Inductively coupled plasma mass spectrometry (ICP-MS) .21
Annex B (informative) Fourier-transform infrared spectroscopy (FTIR) .26
Annex C (informative) Summary of X-ray photoelectron spectroscopy (XPS) interlaboratory
studies .29
Annex D (informative) Summary of thermogravimetric analysis (TGA) interlaboratory study .34
Annex E (informative) Summary of inductively coupled plasma mass spectrometry (ICP-MS)
interlaboratory study . 41
Annex F (informative) Summary of Fourier-transform infrared spectroscopy (FTIR) mini-
interlaboratory study .44
Bibliography . 47
iii
ISO/TS 23359:2025(en)
Foreword
ISO (the International Organization for Standardization) and IEC (the International Electrotechnical
Commission) form the specialized system for worldwide standardization. National bodies that are
members of ISO or IEC participate in the development of International Standards through technical
committees established by the respective organization to deal with particular fields of technical activity.
ISO and IEC technical committees collaborate in fields of mutual interest. Other international organizations,
governmental and non-governmental, in liaison with ISO and IEC, also take part in the work.
The procedures used to develop this document and those intended for its further maintenance are described
in the ISO/IEC Directives, Part 1. In particular, the different approval criteria needed for the different types
of document should be noted. This document was drafted in accordance with the editorial rules of the ISO/
IEC Directives, Part 2 (see www.iso.org/directives or www.iec.ch/members_experts/refdocs).
ISO and IEC draw attention to the possibility that the implementation of this document may involve the
use of (a) patent(s). ISO and IEC take no position concerning the evidence, validity or applicability of any
claimed patent rights in respect thereof. As of the date of publication of this document, ISO and IEC had not
received notice of (a) patent(s) which may be required to implement this document. However, implementers
are cautioned that this may not represent the latest information, which may be obtained from the patent
database available at www.iso.org/patents and https://patents.iec.ch. ISO and IEC shall not be held
responsible for identifying any or all such patent rights.
Any trade name used in this document is information given for the convenience of users and does not
constitute an endorsement.
For an explanation of the voluntary nature of standards, the meaning of ISO specific terms and expressions
related to conformity assessment, as well as information about ISO's adherence to the World Trade
Organization (WTO) principles in the Technical Barriers to Trade (TBT) see www.iso.org/iso/foreword.html.
In the IEC, see www.iec.ch/understanding-standards.
This document was prepared jointly by Technical Committee ISO/TC 229, Nanotechnologies, and Technical
Committee IEC/TC 113, Nanotechnology for electrotechnical products and systems, in collaboration with the
European Committee for Standardization (CEN) Technical Committee CEN/TC 352, Nanotechnologies, in
accordance with the Agreement on technical cooperation between ISO and CEN (Vienna Agreement).
Any feedback or questions on this document should be directed to the user’s national standards body. A
complete listing of these bodies can be found at www.iso.org/members.html.
iv
ISO/TS 23359:2025(en)
Introduction
Graphene nanoplatelets (GNPs) are applied in many technology areas, including solar cells, biosensors,
displays, composites, flexible electronics and energy storage, due to the exceptional properties of graphene.
However, it is not just GNPs that are used commercially but other material variants as well, such as reduced
graphene oxide, graphene oxide and chemically functionalised forms of GNPs. These different graphene-
related two-dimensional materials (GR2Ms) are suitable for different application areas and therefore, there
must be a full understanding of the chemical properties of commercially available materials, so that the
correct material is selected for specific application areas.
As these materials are increasingly used in different industries, international standardization is needed
to support commercialization. Reliable, accurate, and reproducible measurements are important due to
the multiple production routes and therefore variability in properties. Producers of the material must use
standards to maintain quality in manufacture and confidence in the supply chain.
This document specifies methods to measure the chemical properties of powders and dispersions
containing a GR2M. The techniques covered are X-ray photoelectron spectroscopy (XPS), thermogravimetric
analysis (TGA), inductively coupled plasma mass spectrometry (ICP-MS), and Fourier-transform infrared
spectroscopy (FTIR). These techniques determine the elemental composition, oxygen to carbon ratio, trace
metal impurities, weight percentage of chemical species and the functional groups present.
XPS is used to provide quantitative measurements of the surface elemental composition of GR2Ms. It can
measure every element except hydrogen and helium that are within up to approximately 10 nm of the
surface and at equivalent homogeneous concentrations above the XPS detection limit.
TGA is a common material characterization technique available in research and industry labs, which offers
rapid and simple characterization of bulk material properties providing useful qualitative and quantitative
information. TGA is widely used for characterization of GR2M to determine the amount of impurities (i.e.
water, amorphous carbon, metals), presence of functional groups, traces of surfactants or other organic
impurities from fabrication processes or impurities from the initial raw material (graphite, silica, metal
oxides etc).
ICP-MS is used to provide detection of the trace metal impurities in samples containing graphene related
two-dimensional materials. However, using conventional solution sample introduction ICP-MS, the sample
must be completely solubilized and hence digestion of the samples is required using harsh acid and
microwave treatment before analysis using ICP-MS.
FTIR is used to understand the functional groups that are present for different materials with significant
non-carbon elements, already identified using complementary techniques herein.
v
Technical Specification ISO/TS 23359:2025(en)
Nanotechnologies — Chemical characterization of graphene-
related two-dimensional materials from powders and liquid
dispersions
1 Scope
This document specifies methods for characterizing the chemical properties of powders or liquid dispersions
containing graphene-related two-dimensional material (GR2M), using a set of suitable measurement
techniques.
This document covers the determination of elemental composition, oxygen to carbon ratio, trace metal
impurities, weight percentage of chemical species and functional groups present, by use of the following
techniques:
— X-ray photoelectron spectroscopy (XPS);
— thermogravimetric analysis (TGA);
— inductively coupled plasma mass spectrometry (ICP-MS);
—Fourier-transform infrared spectroscopy (FTIR).
This document covers sample preparation, protocols and data analysis for the different techniques.
2 Normative references
The following documents are referred to in the text in such a way that some or all of their content constitutes
requirements of this document. For dated references, only the edition cited applies. For undated references,
the latest edition of the referenced document (including any amendments) applies.
ISO 15472, Surface chemical analysis — X-ray photoelectron spectrometers — Calibration of energy scales
ISO 16129, Surface chemical analysis — X-ray photoelectron spectroscopy — Procedures for assessing the day-
to-day performance of an X-ray photoelectron spectrometer
ISO 18115-1, Surface chemical analysis — Vocabulary — Part 1: General terms and terms used in spectroscopy
ISO 20903, Surface chemical analysis — Auger electron spectroscopy and X-ray photoelectron spectroscopy —
Methods used to determine peak intensities and information required when reporting results
ISO 21270, Surface chemical analysis — X-ray photoelectron and Auger electron spectrometers — Linearity of
intensity scale
ISO 24237, Surface chemical analysis — X-ray photoelectron spectroscopy — Repeatability and constancy of
intensity scale
ISO 80004-1, Nanotechnologies — Vocabulary — Part 1: Core terms
ISO/TS 80004-6, Nanotechnologies — Vocabulary — Part 6: Nano-object characterization
ISO/TS 80004-13, Nanotechnologies — Vocabulary — Part 13: Graphene and other two-dimensional (2D)
materials
ISO/TS 23359:2025(en)
3 Terms and definitions
For the purposes of this document, the terms and definitions given in ISO 18115-1, ISO 80004-1,
ISO/TS 80004-6, ISO/TS 80004-13 and the following apply.
For the purposes of this document, the following terms and definitions apply.
ISO and IEC maintain terminology databases for use in standardization at the following addresses:
— ISO Online browsing platform: available at https:// www .iso .org/ obp
— IEC Electropedia: available at https:// www .electropedia .org/
3.1
graphene
graphene layer
single-layer graphene
monolayer graphene
single layer of carbon atoms with each atom bound to three neighbours in a honeycomb structure
Note 1 to entry: It is an important building block of many carbon nano-objects.
Note 2 to entry: As graphene is a single layer, it is also sometimes called monolayer graphene or single-layer graphene
and abbreviated as 1LG to distinguish it from bilayer graphene (2LG) and few-layered graphene (FLG).
Note 3 to entry: Graphene has edges and can have defects and grain boundaries where the bonding is disrupted.
Note 4 to entry: In situations where the word graphene is used as an adjective, including in terms such as graphene-
enabled, the term commonly and incorrectly refers to GR2M (3.7) and not just to single-layer graphene.
[SOURCE: ISO/TS 80004-13:2024, 3.1.2.1.]
3.2
graphite
allotropic form of the element carbon, consisting of graphene layers stacked parallel to each other in a three-
dimensional, crystalline, long-range order
Note 1 to entry: Adapted from the definition in the IUPAC Compendium of Chemical Terminology.
Note 2 to entry: There are two primary allotropic forms with different stacking arrangements: hexagonal and
rhombohedral.
[SOURCE: ISO/TS 80004-13:2024, 3.1.2.2]
3.3
bilayer graphene
2LG
two-dimensional material consisting of two well-defined stacked graphene layers
Note 1 to entry: If the stacking registry is known, it can be specified separately, for example, as “Bernal stacked bilayer
graphene”.
[SOURCE: ISO/TS 80004-13:2024, 3.1.2.7]
3.4
few-layer graphene
FLG
two-dimensional material consisting of three to ten well-defined stacked graphene layers
[SOURCE: ISO/TS 80004-13:2024, 3.1.2.11]
ISO/TS 23359:2025(en)
3.5
graphene nanoplatelet
GNP
nanoplate consisting of graphene layers
Note 1 to entry: GNPs typically have thickness of between 1 nm to 3 nm and lateral dimensions ranging from
approximately 100 nm to 100 μm.
[SOURCE: ISO/TS 80004-13:2024, 3.1.2.12]
3.6
graphene oxide
GO
chemically modified graphene with extensive oxidative modification of the basal plane
Note 1 to entry: Graphene oxide is a single-layer material with a high oxygen content, typically characterized by O/C
atomic ratios of approximately 0,5 (C/O ratios of approximately 2,0) depending on the method of synthesis.
Note 2 to entry: Graphene oxide is predominately prepared by oxidation and exfoliation of graphite.
Note 3 to entry: Oxidative modification can also occur at the edges.
Note 4 to entry: Restacking of graphene oxide can occur. Therefore, care must be taken when preparing samples or
products from highly concentrated liquid dispersions as this can lead to agglomeration and aggregation of the primary
particles, which are a single-layer.
[SOURCE: ISO/TS 80004-13:2024, 3.1.2.15]
3.7
graphene related 2D material
GR2M
carbon-based two-dimensional material consisting of one to 10 layers, including graphene, graphene oxide,
reduced graphene oxide, and functionalized variations thereof
Note 1 to entry: This includes bilayer graphene, trilayer graphene and few-layer graphene.
Note 2 to entry: The terms graphene-based material and graphene-material are deprecated here. They have been used
to describe materials other than graphene, such as graphene oxide.
Note 3 to entry: "Graphene-related 2D material" is defined in contrast with graphene-based and GR2M-based .
[SOURCE: ISO/TS 80004-13:2024, 3.1.1.2]
3.8
reduced graphene oxide
rGO
reduced oxygen content form of graphene oxide
Note 1 to entry: This can be produced by chemical, thermal, microwave, photo-chemical, photo-thermal or microbial
or bacterial methods, or by exfoliating reduced graphite oxide.
Note 2 to entry: If graphene oxide was fully reduced, then graphene would be the product. However, in practice, some
3 2
oxygen containing functional groups will remain and not all sp bonds will return back to sp configuration. Different
reducing agents will lead to different carbon to oxygen ratios and different chemical compositions in reduced
graphene oxide.
Note 3 to entry: It can take the form of several morphological variations such as platelets and worm-like structures.
Note 4 to entry: The O/C atomic ratio is approximately 0,1 to 0,5 (C/O ratio 2 to 10).
[SOURCE: ISO/TS 80004-13:2024, 3.1.2.16]
ISO/TS 23359:2025(en)
3.9
graphite oxide
chemically modified graphite prepared by extensive oxidative modification of the basal planes
Note 1 to entry: The structure and properties of graphite oxide depend on the degree of oxidation and the particular
synthesis method.
Note 2 to entry: In powder form, restacking of graphite oxide layers can occur.
[SOURCE: ISO/TS 80004-13:2024, 3.1.2.14]
3.10
X-ray photoelectron spectroscopy
XPS
method in which an electron spectrometer is used to measure the energy distribution of photoelectrons and
Auger electrons emitted from a surface irradiated by X-ray photons
Note 1 to entry: X-ray sources in common use are unmonochromated Al Kα and Mg Kα X-rays at 1 486,6 eV and
1 253,6 eV, respectively. Modern instruments also use monochromated Al Kα X-rays. Some instruments make use of
various X-ray sources with other anodes or of synchrotron radiation.
Note 2 to entry: Extended pressure XPS (EP-XPS), near ambient pressure XPS (NAP-XPS) and hard X-ray photo electron
spectroscopy (HAXPES) are variants of XPS.
[SOURCE: ISO 18115-1:2023, 11.6, modified — Abbreviations in Note 2 to entry have been spelt out]
3.11
thermogravimetric analysis
TGA
method in which the change in the mass of a sample is measured as a function of temperature while the
sample is subjected to a controlled temperature programme
[SOURCE: ISO/TS 80004-6:2021, 6.1.2, modified — Term has been changed to “thermogravimetric analysis”.]
3.12
inductively coupled plasma mass spectrometry
ICP-MS
analytical technique comprising a sample introduction system, an inductively coupled plasma source
for ionization of the analytes, a plasma or vacuum interface and a mass spectrometer comprising an ion
focusing, separation and detection system
[SOURCE: ISO/TS 80004-6:2021, 5.23]
3.13
Fourier transform infrared spectroscopy
FTIR
spectroscopy in which a sample is subjected to excitation of molecular bonds by pulsed, broad-band infra-
red radiation, and the Fourier transform mathematical method is used to obtain an absorption spectrum
[SOURCE: ISO/TS 80004-6:2021, 5.8]
4 Abbreviated terms
For the purposes of this document, the following symbols and abbreviations apply.
ISO/TS 23359:2025(en)
1D one dimensional
1LG single layer graphene
2D two-dimensional
2LG bilayer graphene
3D three dimensional
DTG first derivative of the TG curve
d2TG second derivative of the TG curve
FLG few-layer graphene
FTIR Fourier-transform infrared spectroscopy
GNP graphene nanoplatelet
GR2M graphene related two-dimensional material
HAXPES hard X-ray photo electron spectroscopy
ICP-MS inductively coupled plasma mass spectrometry
SCA surface chemical analysis
TG thermogravimetric
TGA thermogravimetric analysis
XPS X-ray photoelectron spectroscopy
5 Approaches to chemical characterization
There are a number of different techniques that can be used to measure the chemical properties of GR2Ms.
Each technique provides different measurands and information. The techniques outlined in this document
are XPS, TGA, ICP-MS, and FTIR. Table 1 provides a summary of the methods and approaches to chemical
characterization.
ISO/TS 23359:2025(en)
Table 1 — Approaches to chemical characterization
Technique Measurands Analysis size Limitations
Quantitative elemental
Limits of detection between
Surface measurement with analysis
analysis (atomic per-
XPS (see 0,01 % and 0,5 % for every element
depth down to 10 nm.
cent).
Clause 6) present in the surface analysis
Lateral resolution: ≈ 1 to ≈1 000 μm.
region (except H and He).
Oxygen-to-carbon ratio.
Moisture content.
Mass percentage of
Requires complementary meth-
TGA (see combustible chemical
Bulk measurement ods for identification of chemical
Clause 7) species identified.
species.
Non-combustible impu-
rities.
ICP-MS (see
Microwave and acidic digestion of
Clause 8 and Trace metal impurities. Bulk measurement
material required before analysis.
Annex A)
Sensitivity requires significant
FTIR (see levels (several atomic percent)
Chemical functional
Clause 9 and Bulk measurement of chemical functionalization.
groups.
Annex B) Requires samples to be thoroughly
dehydrated.
NOTE: XPS can also provide:
a) chemical state information (not covered in this document);
b) X to carbon ratios where X is any element measured other than carbon.
Oxygen to carbon ratios are particularly useful for information when analysing rGO and GO.
Follow the sequence of measurement methods and process outlined in Figure 1 to determine the chemical
properties of GR2Ms. Firstly, undertake XPS to determine quantitative elemental analysis, the main
measurand for chemical measurement, and, if required, chemical state information. Then, decide if any
additional measurands are required. If so, undertake a combination of TGA, ICP-MS, or FTIR, as appropriate.
The sample may be a powder or a liquid dispersion (suspension). For liquid dispersions, samples are dried
to a powder form, in some cases on a substrate, to undergo further characterization. Liquid dispersions can
include other formulated ingredients which, when dried, will lead to the inclusion of these chemicals in the
sample to be analysed.
ISO/TS 23359:2025(en)
NOTE The numbers relate to the clauses where the method is detailed.
Figure 1 — Sequence of methods used to determine chemical properties of GR2Ms from powder or
liquid dispersion
The storage and laboratory humidity levels should be monitored as, depending on the sample, these can play
a role in varying the chemical functionalization of GR2M.
As well as chemical properties, the structural properties of the GR2M should be considered and can be
important for cross comparison with the chemical measurements. Refer to ISO/TS 21356-1 for information
on structural characterization of graphene from powders and liquid dispersions, using techniques such as
Raman spectroscopy, the Brunauer-Emmett-Teller (BET) method, atomic force microscopy, scanning electron
microscopy (SEM), transmission electron microscopy (TEM) and selected area electron diffraction (SAED).
NOTE ISO/TR 19733 outlines other techniques that can provide chemical analysis. This includes X-ray diffraction
and combustion techniques. These techniques currently have unknown uncertainties but can provide useful
information for quality control purposes once a material has been measured using the methods outlined in this
document.
ISO/TS 23359:2025(en)
6 X-ray photoelectron spectroscopy (XPS)
6.1 Introduction
XPS can be used to investigate the surface chemistry of GR2M samples. It provides chemical information
from the top ≤10 nm of a sample with a spatial resolution typically between approximately ten to a few
hundred micrometres. The following information should be measured:
— elemental composition with typically 0,1 atomic percent sensitivity;
— chemical binding state information (if required).
In addition, XPS is able to provide information on:
a) thickness measurement of overlayers of less than 10 nm on a substrate;
b) surface chemical imaging with a resolution of typically approximately 10 μm;
c) depth-distribution of chemical species through angle-resolved analysis, background shape analysis and
sputter depth profiling.
XPS works by irradiating a sample with X-rays (commonly Al Kα or Mg Kα) in vacuum. When an X-ray
photon hits and transfers this energy to a core-level electron, the photoelectron is emitted from its initial
state with a kinetic energy dependent on the incident X-ray and binding energy of the atomic orbital from
which it originated. The energy and intensity of the emitted photoelectrons are analysed to identify and
determine the concentrations of the elements present. The chemical state of the atom influences the binding
energy scale position and the shape of photoelectron peak in the spectrum and these can be used to infer the
chemical environment of the atom by expert analysis.
6.2 Instrument preparation
The user should be competent in XPS analysis and should, as far as possible, conform to ISO 10810. Prior to
measurements, the XPS instrument shall be in good working order. The linear range of operation shall be
determined using ISO 21270. The energy scale of the instrument shall be calibrated using ISO 15472. The
intensity scale of the operating modes used for quantitative elemental analysis shall be calibrated according
to laboratory practice. It should be calibrated by the instrument manufacturer or appropriate metrology
institute. It is normal for these steps to be carried out after the installation or at a regular instrument service,
in which case the stability of the instrument shall be assessed using ISO 16129 and ISO 24237. Details of the
instrument calibration and sensitivity factors employed should be recorded in accordance with ISO 15470.
6.3 Sample preparation
The test sample consisting of a GR2M should be measured after directly pressing a powder into a pellet,
which produces a flat homogenous surface for XPS and addresses any possible health and safety concerns
due to the possible nano-particulate nature of the material. An example of a pressed pellet mounted on a
1 cm × 1 cm silicon wafer is shown in Figure 2. The use of a pressed pellet will produce the most repeatable
results. As an alternative to pressing pellets, the powders may be mounted and analysed as received but the
results are likely to be less repeatable. The powders may also be mounted in a recessed well, but the powder
must be well fixed in the recess to avoid any damage to or contamination of the XPS equipment. Whichever
sample preparation is used, the sample preparation procedure should be recorded. In most cases, the sample
preparation procedure will affect the measured result. Results measured on pellets should not be compared
with results from powders.
ISO/TS 23359:2025(en)
Figure 2 — Example of a pressed pellet mounted on a silicon wafer
The contamination of samples must be avoided during sample preparation. Disposable laboratory gloves
and masks should be used. The surfaces of pellet dies should be free from contaminants. Sample preparation
should be performed in a well-ventilated area. A relative humidity of higher than 60 % should be avoided.
Samples should only be handled with clean metal implements. The area to be analysed should not be touched.
For further information on sample preparation, refer to ISO 20579-1:2024, Clause 5 and Annex B.
The sample preparation should be documented as described in ISO 20579-4, Clause 5 and Annex B.
Once the test samples are prepared, position the sample in the instrument in accordance with standard
operating procedures.
Other types of samples should not be put onto the sample holder with the test samples, in order to avoid
contamination.
6.4 Method
The method shall be as follows:
a) Achieve a suitable vacuum, according to standard operating procedures. The instrumental vacuum
-6 -8
should be better than approximately 10 Pa (10 mbar) during data acquisition.
b) A survey scan with a minimum pass energy of 80 eV or higher shall be acquired. The kinetic energy
range shall be from 200 eV to at least 10 eV greater than the X-ray energy. The energy step size shall
be 1 eV or smaller. The dwell time or number of sweeps shall be adjusted to ensure that the number of
counts of C 1s maximum is greater than 1 × 10 counts per second (or counts/s).
c) Acquire high resolution (narrow) scans with a pass energy of 40 eV or lower for appropriate peaks. The
energy step size should be between 0,05 eV and 0,1 eV. High resolution scans of C 1s, O 1s, N 1s, Cl 2p, and
S2p regions are recommended as a minimum, if the elements are identified as present as well as regions
for other elements expected or suspected to be present and elements identified in the survey scan.
For example, if fluorine is expected to be present either as the GR2M has been functionalized with
fluorine or fluorine is expected to be a contaminant, then a high-resolution scan of F 1s is recommended.
In order to obtain good signal quality, the test samples should be scanned until a peak intensity of greater
than 2 × 10 counts/s is recorded at the C 1s maximum. Peaks of all other elements should be scanned
for the same number of scans as the C 1s peak, or a greater number of scans should be performed. For
each high-resolution spectra, a total energy window of at least three times the width of the main peak
should be used. In addition, for the C 1s, the scan energy window should extend at least 15 eV to the
higher binding energy side of the peak to account for peak asymmetry. An example of the survey scan
for a GR2M sample and a narrow scan of the C1s peak is shown in Figure 3.
ISO/TS 23359:2025(en)
NOTE An alternative procedure is to first run survey scans as described in b). Then run elemental detailed
narrow scans acquired at approximately 80 eV resolved pass energy and with the energy step size 0,1 eV, for all
elements detected in the survey spectra and use these for quantitative analysis. As the next step, acquire high-
resolution spectra with a pass energy 40 eV or lower and with the energy step size between 0,05 eV to 0,1 eV
according to c), but only for the elemental peaks where the chemical shifts are smaller and high-resolution scans
are therefore needed. For GR2M powders, this most likely only includes the elemental peaks C 1s, O 1s and N 1s, Cl
2p and S 2p.
d) A minimum of 3 measurements overall [following steps b) and c)] should be obtained at different
positions on each powder sample. A second or third sample, i.e. duplicate or triplicate samples, can
be analysed to check repeatability, which can show any issues with sample preparation. If triplicate
samples are analysed, then one measurement per sample can be sufficient.
This assumes that the analysis area is several hundred microns by several hundred microns, such that the
analysis will be for the average value for many micrometre sized GR2M particles. If the analysis area is
smaller than this, then additional measurement positions are recommended.
The acquisition conditions should be recorded and reported. If samples experience charging during
measurement, then appropriate charge compensation systems shall be used, for example an electron flood
gun can be used. The details of operation should be recorded in accordance with ISO 19318.
ISO/TS 23359:2025(en)
a) Survey scan of a GR2M sample
b)Narrow scan of a C 1s peak of a GR2M sample
ISO/TS 23359:2025(en)
Key
X binding energy, eV
-1
Y intensity, counts s
1 C KLL peak
2 O KLL peak
3 F 1s peak region if present
4 O 1s
5 N 1s peak region if present
6 C 1S
Figure 3 — Example XPS spectrum
6.5 Quantitative analysis
The equivalent-homogeneous relative content of carbon, oxygen, sulphur, chlorine, and nitrogen and
any other detected elements shall be calculated from a selected peak area from each of the detected
elements in the survey scan (or alternatively quantification from the elemental detailed narrow spectra).
The homogeneous equivalent atomic concentration is the atomic concentration that can result in the
measured relative peak intensities if the sample were homogeneous. I.e. if the sample is homogeneous, the
homogeneous equivalent atomic concentration is the true atomic concentration. Only data acquired using
the same instrument settings, such as pass energy, shall be used. If any element detected in the survey scan
is excluded from the analysis, then this shall be noted. Undertake the following steps:
a) Select the integral range of the detected elements, with a wide enough integral energy interval to include
any possible chemical shifts in each elemental signal. For quantification, integral energy interval should
not be less than 12 eV for C 1s, 8 eV for O 1s, 10 eV for N 1s, 12 eV for Cl 2p and 12 eV for S 2p signals.
b) Determine the peak area for each element in accordance with ISO 20903.
c) Divide the peak areas by the product of the relevant transmission function at the peak energy and the
elemental subshell sensitivity factor. The result, for each element, is termed here the adjusted intensity.
d) Obtain quantitative results by calculating ratios of the adjusted intensities relevant to each element.
The quantitative results have physical meaning for a homogeneous single-phase sample. If there is
inhomogeneity, such as separate phases or inconstant elemental depth distributions, more accurate
results will be found using an appropriate physical model.
e) Report the results in accordance with subclause 10.2.
NOTE 1 Additional peak fitting analysis can be undertaken to give an indication of binding states. This is not
straight forward and currently no International Standards cover this.
NOTE 2: Refer to 6.3 regarding the importance of recording the sample preparation method (for example
pellets or powders). For pellets, lower amounts of the functionalization component are usually found than
for powders. An example is shown in Annex C and in Reference [13].
NOTE 3 The morphology of the flakes influences their functionalization, as shown, for example, in Reference [12].
ISO/TS 21356-1 details methods to determine the structural characterization of graphene from powders and
dispersions.
ISO/TS 23359:2025(en)
7 Thermogravimetric analysis (TGA)
7.1 Introduction
TGA is a common material characterization technique, which offers rapid and simple characterization of
bulk material properties by providing useful qualitative and quantitative information. TGA is widely used
for the chemical characterization of GR2M powders in order to provide the following chemical information:
— number of mass change steps (related to the number of volatile and combustible components);
— temperature of maximum mass change rate, or maximum peak temperature (T ), (related to the
max
identification of combustible components);
— moisture contents, in % (mass);
— oxygen functional groups (that are carbon-bound) contents % (mass);
— other functional groups such as amine, sulphur (that is carbon-bound) contents % (mass);
— carbon (graphene related) contents, % (mass);
— volatile organic impurities (surfactants, solvents, sulphur groups etc) contents, % (mass);
— volatile carbon (non-graphene related) impurities (for example amorphous and graphitic carbon
>>10 graphene layers) contents, % (mass);
— non-combustible impurities (for example silica, metal oxides) contents, % (mass).
TGA measures the change in mass of a material as a function of temperature change which is presented as TG
or DTG graphs. In the case of GR2M, these changes result from characteristic thermal properties related not
only to the GR2M atomic and molecular structure, but also to the presence of adsorbed moisture, residual
solvents, chemically-bound functional groups, and other thermally combustible (graphite, amorphous
carbon) and non-combustible impurities.
The TG and DTG graphs of GO, rGO and FLG in oxidising atmosphere (for example air) show distinctive
characteristics and components. These are observed as the number of decomposition mass changes (steps).
From determining the temperature of maximum mass change rate or the maximum peak temperature
(T ) of these steps, valuable qualitative and quantitative analytical information can be obtained. Examples
max
of representative TG and DTG graphs showing these characteristics are presented in Figure 4.
ISO/TS 23359:2025(en)
Key
X temperature (°C) d T sp hybridised C (GO)
max
Y1 mass (%) e T Csp (GNPs < 10 layers)
max
Y2 derivative mass change (%/°C) f T Csp (>> 10 layers)
max
a T H O 1 step 1
max 2
b T O-C 2 step 2
max
c T sp hybridised C (rGO) 3 step 3
max
NOTE 1: Figure 4 shows representative TG and DTG graphs of powders containing a GR2M.
NOTE 2: The sample contains GO, rGO, FLG and graphite (Gft), and shows the number of mass change steps
(combustible components) and T values for these components.
max
Figure 4 — Examples of TG and DTG graphs of powders containing different GR2Ms
TGA can also be coupled with secondary analysis techniques, such as MS or FTIR to provide additional
information. These instruments may be used if available.
NOTE The ISO 11358 series provides information on TG of polymers and provides some general information that
can be useful.
ISO/TS 23359:2025(en)
7.2 Sample preparation
7.2.1 General
Prior to analysis, if the GR2M sample is in liquid dispersion form (for example, rGO and GO dispersions),
separate the sample using filtration or centrifugation to obtain the solid form. To remove excessive moisture,
keep the sample in a thermostatic vacuum drying oven for at least 12 hours at 50 °C. For GR2M in powder
form, if possible, measurements should be performed as close to the time of samples arrival or manufacture
as possible. If this is not possible, then the prepared GR2M samples should be stored in vacuum-sealed vials
in the dark
...
Spécification
technique
ISO/TS 23359
Première édition
Nanotechnologies —
2025-08
Caractérisation chimique des
matériaux bidimensionnels
similaires au graphène à partir de
poudres et de dispersions liquides
Nanotechnologies — Chemical characterization of graphene-
related two-dimensional materials from powders and liquid
dispersions
Numéro de référence
ISO/TS 23359:2025(fr) © ISO 2025
ISO/TS 23359:2025(fr)
DOCUMENT PROTÉGÉ PAR COPYRIGHT
© ISO 2025
Tous droits réservés. Sauf prescription différente ou nécessité dans le contexte de sa mise en œuvre, aucune partie de cette
publication ne peut être reproduite ni utilisée sous quelque forme que ce soit et par aucun procédé, électronique ou mécanique,
y compris la photocopie, ou la diffusion sur l’internet ou sur un intranet, sans autorisation écrite préalable. Une autorisation peut
être demandée à l’ISO à l’adresse ci-après ou au comité membre de l’ISO dans le pays du demandeur.
ISO copyright office
Case postale 401 • Ch. de Blandonnet 8
CH-1214 Vernier, Genève
Tél.: +41 22 749 01 11
E-mail: copyright@iso.org
Web: www.iso.org
Publié en Suisse
ii
ISO/TS 23359:2025(fr)
Sommaire Page
Avant-propos .iv
Introduction .v
1 Domaine d’application . 1
2 Références normatives . 1
3 Termes et définitions . 2
4 Abréviations . 5
5 Approches de la caractérisation chimique . 5
6 Spectroscopie de photoélectrons par rayons X (XPS). 7
6.1 Introduction .7
6.2 Préparation de l’instrument .8
6.3 Préparation des échantillons .8
6.4 Méthode .9
6.5 Analyse quantitative . 12
7 Analyse thermogravimétrique (ATG) . .13
7.1 Introduction . 13
7.2 Préparation des échantillons . 15
7.2.1 Généralités . 15
7.2.2 Conditions et préparation des instruments . 15
7.2.3 Préparation du creuset . 15
7.2.4 Mode opératoire de mesurage .16
7.3 Traitement et analyse des données .16
7.3.1 Représentation graphique des données .16
7.3.2 Détermination du nombre d’étapes de variation de masse.17
7.3.3 Détermination de la température de variation de masse maximale (T ) .17
max
7.3.4 Identification du GR2M présent .17
7.3.5 Déterminer le pourcentage massique .18
8 Spectrométrie de masse à plasma à couplage inductif (ICP-MS) .20
9 Spectroscopie infrarouge à transformée de Fourier (spectrométrie FTIR) .20
10 Rapports .20
10.1 Introduction . 20
10.2 Spectroscopie de photoélectrons par rayons X (XPS) .21
10.3 Analyse thermogravimétrique (ATG) .21
10.4 Spectrométrie de masse à plasma à couplage inductif (ICP-MS) .21
10.5 Spectroscopie infrarouge à transformée de Fourier (spectrométrie FTIR) .21
Annexe A (informative) Spectrométrie de masse à plasma à couplage inductif (ICP-MS) .22
Annexe B (informative) Spectroscopie infrarouge à transformée de Fourier (spectrométrie
FTIR) .27
Annexe C (informative) Résumé des études interlaboratoires ayant eu recours à la spectroscopie
de photoélectrons par rayons X (XPS) .30
Annexe D (informative) Résumé de l’étude interlaboratoires ayant eu recoursà l’analyse
thermogravimétrique (ATG) .36
Annexe E (informative) Résumé de l’étude interlaboratoires ayant eu recours à la spectrométrie
de masse à plasma à couplage inductif (ICP-MS) .43
Annexe F (informative) Résumé de la mini-étude interlaboratoires ayant eu recours à la
spectroscopie infrarouge à transformée de Fourier (spectrométrie FTIR) .46
Bibliographie .50
iii
ISO/TS 23359:2025(fr)
Avant-propos
L'ISO (Organisation internationale de normalisation) et l’IEC (Commission électrotechnique internationale)
forment le système spécialisé de la normalisation mondiale. Les organismes nationaux membres de l'ISO ou
de l’IEC participent au développement de Normes internationales par l'intermédiaire des comités techniques
créés par l'organisation concernée afin de s'occuper des domaines particuliers de l'activité technique.
Les comités techniques de l'ISO et de l’IEC collaborent dans des domaines d'intérêt commun. D'autres
organisations internationales, gouvernementales et non gouvernementales, en liaison avec l'ISO et l’IEC,
participent également aux travaux.
Les procédures utilisées pour élaborer le présent document et celles destinées à sa mise à jour sont
décrites dans les Directives ISO/IEC, Partie 1. Il convient, en particulier de prendre note des différents
critères d'approbation requis pour les différents types de documents ISO. Le présent document a
été rédigé conformément aux règles de rédaction données dans les Directives ISO/IEC, Partie 2 (voir
www.iso.org/directives ou www.iec.ch/members_experts/refdocs).
L’ISO et l’IEC attirent l’attention sur le fait que la mise en application du présent document peut entraîner
l’utilisation d’un ou de plusieurs brevets. L’ISO et l’IEC ne prennent pas position quant à la preuve, à la
validité et à l’applicabilité de tout droit de brevet revendiqué à cet égard. À la date de publication du présent
document, L’ISO et l’IEC n'avaient pas reçu notification qu’un ou plusieurs brevets pouvaient être nécessaires
à sa mise en application. Toutefois, il y a lieu d’avertir les responsables de la mise en application du présent
document que des informations plus récentes sont susceptibles de figurer dans la base de données de
brevets, disponible à l'adresse www.iso.org/brevets et https://patents.iec.ch. L’ISO et l’IEC ne sauraient être
tenues pour responsables de ne pas avoir identifié tout ou partie de tels droits de propriété.
Les appellations commerciales éventuellement mentionnées dans le présent document sont données pour
information, par souci de commodité, à l’intention des utilisateurs et ne sauraient constituer un engagement.
Pour une explication de la nature volontaire des normes, la signification des termes et expressions spécifiques
de l'ISO liés à l'évaluation de la conformité, ou pour toute information au sujet de l'adhésion de l'ISO aux
principes de l’Organisation mondiale du commerce (OMC) concernant les obstacles techniques au commerce
(OTC), voir www.iso.org/iso/avant-propos. Pour l'IEC, voir www.iec.ch/understanding-standards.
Le présent document a été élaboré conjointement par le comité technique ISO/TC 229, Nanotechnologies, et
le comité technique IEC/TC 113, Nanotechnologies relatives aux appareils et systèmes électrotechnologiques,
en collaboration avec le comité technique CEN/TC 352, Nanotechnologies, du Comité européen de
normalisation (CEN), conformément à l’Accord de coopération technique entre l’ISO et le CEN (Accord de
Vienne).
Il convient que l’utilisateur adresse tout retour d’information ou toute question concernant le présent
document à l’organisme national de normalisation de son pays. Une liste exhaustive desdits organismes
se trouve à l’adresse www.iso.org/fr/members.html.
iv
ISO/TS 23359:2025(fr)
Introduction
Les nanoplaquettes de graphène (GNP) sont appliquées dans de nombreux domaines technologiques,
y compris les cellules solaires, les biocapteurs, les écrans, les composites, l’électronique flexible et le stockage
d’énergie, en raison des propriétés exceptionnelles du graphène. Cependant, les GNP ne sont pas les seules
à être utilisées dans le commerce. D’autres variantes de matériaux, telles que l’oxyde de graphène réduit,
l’oxyde de graphène et les formes de GNP fonctionnalisées chimiquement, le sont également. Ces différents
matériaux bidimensionnels similaires au graphène (GR2M) sont adaptés à différents domaines d’application
et, de ce fait, les propriétés chimiques des matériaux disponibles dans le commerce doivent être parfaitement
comprises afin de sélectionner le matériau adapté au domaine d’application souhaité.
Comme ces matériaux sont de plus en plus utilisés dans différentes industries, une normalisation
internationale est nécessaire pour soutenir la commercialisation. Des mesurages fiables, précis et
reproductibles sont importants en raison des multiples routes de production et donc de la variabilité
des propriétés. Les producteurs du matériau doivent utiliser des normes pour maintenir la qualité de la
fabrication et la confiance dans la chaîne d’approvisionnement.
Le présent document spécifie des méthodes de mesure des propriétés chimiques des poudres et des
dispersions contenant un GR2M. Les techniques couvertes sont la spectroscopie de photoélectrons par
rayons X (XPS), l’analyse thermogravimétrique (ATG), la spectrométrie de masse à plasma à couplage
inductif (ICP-MS) spectroscopie infrarouge à transformée de Fourier (spectrométrie FTIR). Ces techniques
déterminent la composition élémentaire, le rapport oxygène/carbone, les traces d’impuretés métalliques, le
pourcentage en poids des espèces chimiques et les groupes fonctionnels présents.
La XPS est utilisée pour fournir des mesurages quantitatifs de la composition élémentaire de surface des
GR2M. Elle peut mesurer tous les éléments, sauf l’hydrogène et l’hélium qui se trouvent à environ 10 nm de la
surface et à des concentrations homogènes équivalentes supérieures à la limite de détection de la XPS.
La ATG est une technique commune de caractérisation des matériaux disponible dans les laboratoires
de recherche et d’industrie, qui offre une caractérisation simple et rapide des propriétés des matériaux
massiques fournissant des informations qualitatives et quantitatives utiles. La ATG est largement utilisée
pour la caractérisation d’un GR2M afin de déterminer la quantité d’impuretés (c’est-à-dire eau, carbone
amorphe, métaux), la présence de groupes fonctionnels, les traces de tensioactifs ou d’autres impuretés
organiques provenant des procédés de fabrication ou les impuretés provenant de la matière première initiale
(graphite, silice, oxydes métalliques, etc.).
L’ICP-MS permet de détecter les traces d’impuretés métalliques dans les échantillons contenant des matériaux
bidimensionnels similaires au graphène. Cependant, en utilisant l’ICP-MS avec introduction d’un échantillon
de solution classique, l’échantillon doit être complètement solubilisé, ce qui requiert une digestion des
échantillons à l’aide d’un traitement à l’acide sévère et par micro-ondes avant l’analyse par ICP-MS.
La spectrométrie FTIR est utilisée pour comprendre les groupes fonctionnels qui sont présents pour
différents matériaux avec des éléments non carbonés significatifs, déjà identifiés à l’aide de techniques
complémentaires dans le présent document.
v
Spécification technique ISO/TS 23359:2025(fr)
Nanotechnologies — Caractérisation chimique des matériaux
bidimensionnels similaires au graphène à partir de poudres
et de dispersions liquides
1 Domaine d’application
Le présent document spécifie les méthodes de caractérisation des propriétés chimiques des poudres ou
des dispersions liquides contenant des matériaux bidimensionnels similaires au graphène (GR2M), à l’aide
d’un ensemble de techniques de mesurage appropriées.
Le présent document couvre la détermination de la composition élémentaire, le rapport oxygène/carbone,
les traces d’impuretés métalliques, le pourcentage en poids des espèces chimiques et les groupes fonctionnels
présents, en employant les techniques suivantes:
— spectroscopie de photoélectrons par rayons X (XPS);
— analyse thermogravimétrique (ATG);
— spectrométrie de masse à plasma à couplage inductif (ICP-MS);
— spectroscopie infrarouge à transformée de Fourier (spectrométrie FTIR).
Le présent document couvre la préparation des échantillons, les protocoles et l’analyse des données pour
les différentes techniques.
2 Références normatives
Les documents suivants sont cités dans le texte de sorte qu’ils constituent, pour tout ou partie de leur
contenu, des exigences du présent document. Pour les références datées, seule l’édition citée s’applique. Pour
les références non datées, la dernière édition du document de référence s’applique (y compris les éventuels
amendements).
ISO 15472, Analyse chimique des surfaces — Spectromètres de photoélectrons X — Étalonnage en énergie
ISO 16129, Analyse chimique des surfaces — Spectroscopie de photoélectrons X — Modes opératoires
d'évaluation de la performance au jour le jour d'un spectromètre de photoélectrons X
ISO 18115-1, Analyse chimique des surfaces — Vocabulaire — Partie 1: Termes généraux et termes utilisés en
spectroscopie
ISO 20903, Analyse chimique des surfaces — Spectroscopie des électrons Auger et spectroscopie de
photoélectrons par rayons X — Méthodes utilisées pour la détermination de l'intensité des pics et informations
requises pour l'expression des résultats
ISO 21270, Analyse chimique des surfaces — Spectromètres de photoélectrons X et d'électrons Auger — Linéarité
de l'échelle d'intensité
ISO 24237, Analyse chimique des surfaces — Spectroscopie de photoélectrons par rayons X — Répétabilité et
constance de l’échelle d’intensité
ISO 80004-1, Nanotechnologies — Vocabulaire — Partie 1: Vocabulaire "cœur"
ISO/TS 80004-6, Nanotechnologies — Vocabulaire — Partie 6: Caractérisation des nano-objets
ISO/TS 23359:2025(fr)
ISO/TS 80004-13, Nanotechnologies — Vocabulaire — Partie 13: Graphène et autres matériaux
bidimensionnels (2D)
3 Termes et définitions
Pour les besoins du présent document, les termes et les définitions de l’ISO 18115-1, l’ISO 80004-1,
l’ISO/TS 80004-6, l’ISO/TS 80004-13 ainsi que les suivants s’appliquent.
Pour les besoins du présent document, les termes et définitions suivants s’appliquent.
L’ISO et l’IEC tiennent à jour des bases de données terminologiques destinées à être utilisées en normalisation,
consultables aux adresses suivantes:
— ISO Online browsing platform: disponible à l’adresse https:// www .iso .org/ obp
— IEC Electropedia: disponible à l’adresse https:// www .electropedia .org/
3.1
graphène
couche de graphène
graphène à couche unique
graphène monocouche
couche unique d’atomes de carbone où chaque atome est lié à trois voisins, dans une structure en nid
d’abeilles
Note 1 à l'article: C’est un élément de base important pour beaucoup de nano-objets carbonés.
Note 2 à l'article: Lorsque le graphène possède une couche unique, il est parfois appelé graphène monocouche ou
bien graphène à couche unique et il est abrégé en 1LG pour le distinguer du graphène bicouche (2LG) et du graphène
à quelques couches (FLG).
Note 3 à l'article: Le graphène possède des bords latéraux et peut avoir des défauts et des joints de grains à l’endroit
où la liaison est perturbée.
Note 4 à l'article: Dans les situations où le mot graphène est utilisé comme adjectif, y compris dans des termes tels que
«graphénique», le terme fait généralement référence, à tort, aux GR2M (3.7)et pas seulement au graphène à couche unique.
[SOURCE: ISO/TS 80004-13:2024, 3.1.2.1.]
3.2
graphite
forme allotropique du carbone élémentaire, constitué de couches de graphène empilées parallèlement les
unes aux autres dans un ordre tridimensionnel cristallin à longue portée
Note 1 à l'article: Adaptée de la définition donnée dans l’IUPAC Compendium of Chemical Terminology.
Note 2 à l'article: Il existe deux formes allotropiques avec des empilements différents: hexagonale et rhomboédrique.
[SOURCE: ISO/TS 80004-13:2024, 3.1.2.2]
3.3
graphène bicouche
2LG
matériau bidimensionnel constitué de deux couches de graphène empilées et bien définies
Note 1 à l'article: Si le mode d’empilement est connu, il peut être spécifié séparément, par exemple comme «graphène
bicouche en empilement Bernal».
[SOURCE: ISO/TS 80004-13:2024, 3.1.2.7]
ISO/TS 23359:2025(fr)
3.4
graphène à quelques couches
FLG
matériau bidimensionnel constitué de trois à dix couches de graphène empilées et bien définies
[SOURCE: ISO/TS 80004-13:2024, 3.1.2.11]
3.5
nanoplaquette de graphène
GNP
nanoplaque constituée de couches de graphène
Note 1 à l'article: Elles possèdent typiquement une épaisseur comprise entre 1 nm et 3 nm et des dimensions latérales
comprises entre 100 nm et 100 µm.
[SOURCE: ISO/TS 80004-13:2024, 3.1.2.12]
3.6
oxyde de graphène
GO
graphène modifié chimiquement, avec une modification oxydative importante du plan de base
Note 1 à l'article: L’oxyde de graphène est un matériau à couche unique ayant une forte teneur en oxygène, typiquement
caractérisé par un rapport atomique O/C d’environ 0,5 (rapport C/O d’environ 2,0) en fonction de la méthode de
synthèse.
Note 2 à l'article: L’oxyde de graphène est principalement préparé par oxydation et exfoliation du graphite.
Note 3 à l'article: Une oxydation peut également se produire sur les bords.
Note 4 à l'article: Un nouvel empilement d’oxyde de graphène peut se produire. Par conséquent, toutes les précautions
nécessaires doivent être prises lors de la préparation d’échantillons ou de produits à partir de dispersions liquides
hautement concentrées, car cela peut entraîner l’agglomération et l’agrégation des particules primaires, qui constituent
une couche unique.
[SOURCE: ISO/TS 80004-13:2024, 3.1.2.15]
3.7
matériau bidimensionnel similaire au graphène
GR2M
matériau bidimensionnel à base de carbone composé d’une à dix couches, comprenant du graphène, de
l’oxyde de graphène, de l’oxyde de graphène réduit et leurs variantes fonctionnalisées
Note 1 à l'article: Cela inclut le graphène bicouche, le graphène tricouche et le graphène à quelques couches.
Note 2 à l'article: Les termes «matériau à base de graphène» et «matériau au graphène» sont déconseillés ici. Ils ont été
utilisés pour décrire des matériaux autres que le graphène, tels que l’oxyde de graphène.
Note 3 à l'article: Le terme «matériau bidimensionnel similaire au graphène» est défini pour le différencier des
matériaux à base de graphène et à base de GR2M.
[SOURCE: ISO/TS 80004-13:2024, 3.1.1.2]
3.8
oxyde de graphène réduit
rGO
forme d’oxyde de graphène ayant une teneur en oxygène réduite
Note 1 à l'article: Il peut être produit par des méthodes chimiques, thermiques, photochimiques, photothermiques,
microbiennes, bactériennes, par micro-ondes, ou bien encore par une exfoliation d’oxyde de graphite réduit.
ISO/TS 23359:2025(fr)
Note 2 à l'article: Si l’oxyde de graphène était entièrement réduit, le produit serait le graphène. Cependant, dans la
pratique, certains groupes fonctionnels contenant de l’oxygène subsisteront et toutes les liaisons sp ne retourneront
pas à une configuration sp . Des réducteurs différents donneront lieu à des rapports carbone/oxygène différents et à
des compositions chimiques différentes dans l’oxyde de graphène réduit.
Note 3 à l'article: Il peut prendre la forme de plusieurs variations morphologiques, telles que des plaquettes et des
structures vermiculaires.
Note 4 à l'article: Le rapport atomique O/C est d’environ 0,1 à 0,5 (rapport C/O de 2 à 10).
[SOURCE: ISO/TS 80004-13:2024, 3.1.2.16]
3.9
oxyde de graphite
graphite modifié chimiquement et préparé par une modification oxydative importante des plans de base
Note 1 à l'article: La structure et les propriétés de l’oxyde de graphite dépendent du degré d’oxydation et de la méthode
particulière de synthèse.
Note 2 à l'article: Sous forme de poudre, un nouvel empilement de couches d’oxyde de graphite peut se produire.
[SOURCE: ISO/TS 80004-13:2024, 3.1.2.14]
3.10
spectroscopie de photoélectrons par rayons X
XPS
méthode qui permet de mesurer, à l’aide d’un spectromètre d’électrons, la distribution d’énergie des
photoélectrons et des électrons Auger émis par une surface irradiée par des rayons X
Note 1 à l'article: Les sources de rayons X communément utilisées sont des rayons X Al Kα et Mg Kα,
non monochromatiques, à des énergies respectives de 1 486,6 eV et 1 253,6 eV. Les instruments modernes utilisent
également des rayons X Al Kα monochromatiques. Certains instruments utilisent soit d’autres sources de rayons X
avec d’autres anodes, soit le rayonnement synchrotron.
Note 2 à l'article: La XPS à pression étendue (EP-XPS), la XPS à pression proche de l’ambiante (NAP-XPS) et
la spectroscopie de photoélectrons par rayons X durs (HAXPES) sont des variantes de la XPS.
[SOURCE: ISO 18115-1:2023, 11.6, modifié — Les abréviations de la Note 2 de l’article ont été épelées.]
3.11
analyse thermogravimétrique
ATG
méthode par laquelle la variation de la masse d’un échantillon est mesurée en fonction de la température,
l’échantillon étant soumis à un programme de température déterminé
[SOURCE: ISO/TS 80004-6:2021, 6.1.2, modifié — Le terme a été modifié en «analyse thermogravimétrique».]
3.12
spectrométrie de masse à plasma à couplage inductif
ICP-MS
technique d’analyse comprenant un système d’introduction d’échantillon, une source de plasma à couplage
inductif pour l’ionisation des substances à analyser, une interface plasma/vide et un spectromètre de masse
comprenant un système de concentration, de séparation et de détection d’ions
[SOURCE: ISO/TS 80004-6:2021, 5.23]
3.13
spectroscopie infrarouge à transformée de Fourier
spectrométrie FTIR
spectroscopie dans laquelle un échantillon est soumis à une excitation des liaisons moléculaires par
rayonnement IR à large bande par impulsion, et la transformée de Fourier est utilisée pour obtenir un
spectre d’absorption
[SOURCE: ISO/TS 80004-6:2021, 5.8]
ISO/TS 23359:2025(fr)
4 Abréviations
Pour les besoins du présent document, les symboles et abréviations suivants s’appliquent.
1D unidimensionnel
1LG graphène à couche unique/monocouche
2D bidimensionnel (two-Dimensional)
2LG graphène bicouche (biLayer Graphene)
3D tridimensionnel
DTG première dérivée de la courbe TG
d2TG seconde dérivée de la courbe TG
FLG graphène à quelques couches (Few-Layer Graphene)
FTIR spectroscopie infrarouge à transformée de Fourier (Fourier-Transform Infrared Spectroscopy)
GNP nanoplaquette de graphène (Graphene NanoPlatelet)
GR2M matériau bidimensionnel similaire au graphène (Graphene Related two-Dimensional Material)
HAXPES spectroscopie de photoélectrons par rayons X durs (HArd X-ray Photo Electron Spectroscopy)
ICP-MS spectrométrie de masse à plasma à couplage inductif (Inductively Coupled Plasma Mass Spectro-
metry)
SCA analyse chimique des surfaces (Surface Chemical Analysis)
TG thermogravimétrique
ATG analyse thermogravimétrique (ThermoGravimetric Analysis)
XPS spectroscopie de photoélectrons par rayons X (X-ray Photoelectron Spectroscopy)
5 Approches de la caractérisation chimique
Il existe un certain nombre de techniques différentes qui peuvent être utilisées pour mesurer les propriétés
chimiques des GR2M. Chaque technique fournit différents mesurandes et informations. Les techniques
décrites dans le présent document sont la XPS, la ATG, l’ICP-MS et la spectrométrie FTIR. Le Tableau 1 fournit
un résumé des méthodes et approches de caractérisation chimique.
ISO/TS 23359:2025(fr)
Tableau 1 — Approches de la caractérisation chimique
Technique Mesurandes Taille de l’analyse Limites
Mesurage de surface avec
Analyse élémentaire quan-
Limites de détection entre 0,01 % ato-
profondeur d’analyse
XPS
titative
mique et 0,5 % atomique pour chaque
jusqu’à 10 nm.
(voir
(pourcentage atomique).
élément présent dans la zone d’analyse
l’Article 6).
Résolution latérale:
de surface (sauf H et He).
Rapport oxygène/carbone.
≈1 μm à ≈1 000 μm.
Teneur en humidité.
Pourcentage massique
ATG Requiert des méthodes complémen-
des espèces chimiques com-
(voir Mesurage massif taires pour l’identification des espèces
bustibles identifiées.
l’Article 7) chimiques.
Impuretés non combus-
tibles.
ICP-MS (voir
Traces d’impuretés métal- Digestion acide et par micro-ondes
l’Article 8 et Mesurage massif
liques. du matériau requise avant l’analyse.
l’Annexe A)
La sensibilité requiert des niveaux
Spectrométrie
significatifs (plusieurs points de pour-
FTIR Groupes fonctionnels
Mesurage massif centage atomique) de fonctionnalisation
(voir l’Article 9 chimiques.
chimique. Requiert une déshydratation
et l’Annexe B)
complète des échantillons.
NOTE: La XPS peut également fournir:
a) des informations sur l’état chimique (non couvertes par le présent document);
b) des rapports X/carbone, où X désigne tout élément mesuré autre que le carbone.
Les rapports oxygène/carbone sont particulièrement utiles pour l’analyse de rGO et de GO.
Suivre la séquence de méthodes et procédés de mesurage représentée à la Figure 1 pour déterminer les
propriétés chimiques des GR2M. Tout d’abord, entreprendre la XPS pour déterminer l’analyse élémentaire
quantitative, le mesurande principal pour le mesurage chimique et, si nécessaire, les informations sur l’état
chimique. Décider ensuite si des mesurandes supplémentaires sont requis et, dans l’affirmative, procéder
à une combinaison de ATG, ICP-MS ou spectrométrie FTIR, suivant le cas.
L’échantillon peut être une poudre ou une dispersion liquide (suspension). Pour les dispersions liquides,
les échantillons sont séchés sous forme de poudre, dans certains cas sur un substrat, pour subir une
caractérisation supplémentaire. Les dispersions liquides peuvent inclure d’autres ingrédients formulés qui,
une fois séchés, entraînent l’inclusion de ces produits chimiques dans l’échantillon à analyser.
ISO/TS 23359:2025(fr)
NOTE Les numéros font référence aux articles où la méthode est détaillée.
Figure 1 — Séquence des méthodes utilisées pour déterminer les propriétés chimiques des GR2M
à partir d’une poudre ou d’une dispersion liquide
Il convient de surveiller les niveaux d’humidité de stockage et en laboratoire car, selon l’échantillon, ces
facteurs peuvent jouer un rôle dans la variation de la fonctionnalisation chimique du GR2M.
Outre les propriétés chimiques, il convient de tenir compte des propriétés structurelles du GR2M qui peuvent
être importantes pour la comparaison croisée avec les mesurages chimiques. Se reporter à l’ISO/TS 21356-1
pour obtenir des informations sur la caractérisation structurale du graphène à partir de poudres et
de dispersions liquides, en utilisant des techniques telles que la spectroscopie Raman, la méthode Brunauer-
Emmett-Teller (BET), la microscopie à force atomique, la microscopie électronique à balayage (SEM), la
microscopie électronique à transmission (TEM) et la diffraction électronique sur une aire sélectionnée (SAED).
NOTE L’ISO/TR 19733 décrit d’autres techniques pouvant fournir une analyse chimique. Cela inclut les techniques
de diffraction des rayons X et de combustion. Ces techniques présentent actuellement des incertitudes inconnues,
mais peuvent fournir des informations utiles à des fins de contrôle qualité une fois qu’un matériau a été mesuré à l’aide
des méthodes décrites dans le présent document.
6 Spectroscopie de photoélectrons par rayons X (XPS)
6.1 Introduction
La XPS peut être utilisée pour étudier la chimie de surface des échantillons de GR2M. Elle fournit des
informations chimiques sur la partie supérieure d’un échantillon (≤10 nm) avec une résolution spatiale
ISO/TS 23359:2025(fr)
généralement comprise entre une dizaine et quelques centaines de micromètres. Il convient de mesurer
les informations suivantes:
— la composition élémentaire avec généralement une sensibilité de 0,1 % atomique;
— des informations sur l’état de liaison chimique (si nécessaire).
En outre, la XPS est en mesure de fournir des informations sur:
a) la mesure de l’épaisseur des couches superficielles de moins de 10 nm déposées sur un substrat;
b) une imagerie chimique de surface avec généralement une résolution d’environ 10 μm;
c) la distribution en profondeur des espèces chimiques obtenue par analyse angulaire, analyse de la forme
du bruit de fond et profilage en profondeur par pulvérisation.
Le principe de XPS repose sur l’irradiation d’un échantillon par des rayons X (généralement Al Kα ou
Mg Kα) sous vide. Lorsque les photons X touchent et transfèrent cette énergie à un électron des couches
profondes, le photoélectron est émis à partir de son état initial avec une énergie cinétique dépendant du
rayon X incident et de l’énergie de liaison de l’orbitale atomique de laquelle il provient. L’énergie et l’intensité
des photoélectrons émis sont analysées pour identifier et déterminer les concentrations des éléments
présents. L’état chimique de l’atome influence la position de l’échelle d’énergie de liaison et la forme du pic
de photoélectrons dans le spectre et ceux-ci peuvent être utilisés pour déduire l’environnement chimique de
l’atome par une analyse experte.
6.2 Préparation de l’instrument
Il convient que l’utilisateur soit compétent dans l’analyse XPS et qu’il se conforme, dans la mesure du possible,
à l’ISO 10810. Avant les mesurages, l’instrument XPS doit être en bon état de fonctionnement. La plage
linéaire de fonctionnement doit être déterminée à l’aide de l’ISO 21270. L’échelle d’énergie de l’instrument
doit être étalonnée conformément à l’ISO 15472. L’échelle d’intensité des modes de fonctionnement utilisés
pour l’analyse élémentaire quantitative doit être étalonnée conformément aux pratiques de laboratoire. Il
convient qu’elle soit étalonnée par le fabricant de l’instrument ou par un institut de métrologie approprié. Il
est normal que ces étapes soient effectuées après l’installation ou lors d’un entretien régulier de l’instrument,
auquel cas la stabilité de l’instrument doit être évaluée à l’aide de l’ISO 16129 et de l’ISO 24237. Il convient
d’enregistrer les détails de l’étalonnage des instruments et des facteurs de sensibilité utilisés conformément
à l’ISO 15470.
6.3 Préparation des échantillons
Il convient de mesurer l’échantillon d’essai constitué d’un GR2M après avoir comprimé directement de la
poudre en pastille, ce qui produit une surface plane et homogène pour la XPS et couvre tous les problèmes de
santé et de sécurité dus à la nature possible des nanoparticules du matériau. Un exemple de pastille pressée
montée sur une tranche de silicium de 1 cm × 1 cm est représenté à la Figure 2. L’utilisation d’une pastille
pressée produit les résultats les plus répétables. Au lieu de presser les pastilles, les poudres peuvent être
montées et analysées telles quelles, mais les résultats sont susceptibles d’être moins répétables. Les poudres
peuvent également être montées dans un puits en cavité, mais elles doivent être bien fixées à l’intérieur
pour éviter tout endommagement ou contamination de l’équipement XPS. Quelle que soit la préparation
d’échantillon utilisée, il convient de consigner le mode opératoire de préparation des échantillons. Dans
la plupart des cas, le mode opératoire de préparation des échantillons aura une incidence sur le résultat
mesuré. Il convient de ne pas comparer les résultats mesurés sur des pastilles aux résultats obtenus avec
des poudres.
ISO/TS 23359:2025(fr)
Figure 2 — Exemple de pastille pressée montée sur une tranche de silicium
La contamination des échantillons doit être évitée pendant leur préparation. Il convient d’utiliser des gants
et des masques de laboratoire jetables. Il convient que les surfaces des matrices de pastille soient exemptes de
contaminants. Il convient d’effectuer la préparation des échantillons dans un endroit bien ventilé. Il convient
d’éviter une humidité relative supérieure à 60 %. Il convient de manipuler les échantillons uniquement avec
des outils métalliques propres. Il convient de ne pas toucher la zone à analyser. Pour plus d’informations sur
la préparation des échantillons, se reporter à l’ISO 20579-1:2024, Article 5 et Annexe B.
Il convient de documenter la préparation des échantillons comme décrit dans l’ISO 20579-4, Article 5
et Annexe B.
Une fois les échantillons d’essai préparés, placer l’échantillon dans l’instrument conformément aux modes
opératoires standard.
Il convient de ne pas placer d’autres types d’échantillons sur le porte-échantillon contenant les échantillons
d’essai, afin d’éviter toute contamination.
6.4 Méthode
La méthode doit être la suivante:
a) réaliser un vide approprié, conformément aux modes opératoires standard. Il convient de prévoir un
−6 −8
vide instrumental supérieur à environ 10 Pa (10 mbar) pendant l’acquisition des données;
b) un spectre d’ensemble avec une énergie de passage minimale de 80 eV ou plus doit être acquis. La plage
d’énergie cinétique doit être supérieure de 200 eV à au moins 10 eV à l’énergie des rayons X. Le pas
d’énergie doit être inférieur ou égal à 1 eV. Le temps d’acquisition ou le nombre de balayages doit être
ajusté pour s’assurer que le nombre de coups de C 1s maximum est supérieur à 1 × 10 coups par seconde
(ou coups/s);
c) acquérir des spectres haute résolution avec une énergie de passage de 40 eV ou moins pour les pics
appropriés. Il convient que le pas d’énergie soit compris entre 0,05 eV et 0,1 eV. A minima des spectres
haute résolution des régions C 1s, O 1s, N 1s, Cl 2p et S2p sont recommandés, si les éléments sont
identifiés comme présents, ainsi que des régions pour d’autres éléments dont la présence est attendue
ou suspectée et des éléments identifiés lors du spectre d’ensemble;
Par exemple, si du fluor est attendu car le GR2M a été fonctionnalisé avec du fluor ou si du fluor est
attendu en tant que contaminant, il est recommandé d’effectuer un balayage haute résolution de F 1s.
Pour obtenir un signal de bonne qualité, il convient de balayer les échantillons d’essai jusqu’à ce qu’une
intensité maximale, supérieure à 2 × 10 coups/s, soit enregistrée au niveau de C 1s maximum. Il convient
que les pics de tous les autres éléments fassent l’objet du même nombre de balayages que le pic C 1s,
ou qu’un plus grand nombre de balayages soit effectué. Pour chaque spectre haute résolution, il convient
ISO/TS 23359:2025(fr)
d’utiliser une fenêtre d’énergie totale d’au moins trois fois la largeur du pic principal. De plus, pour C 1s,
il convient que la fenêtre d’énergie de balayage s’étende au moins à 15 eV du côté de l’énergie de liaison
la plus élevée du pic pour tenir compte de l’asymétrie du pic. Un exemple de spectre d’ensemble pour
un échantillon de GR2M et un spectre haute résolution du pic C 1s sont représentés à la Figure 3.
NOTE Un autre mode opératoire consiste à effectuer d’abord des spectres d’ensemble comme décrit en b).
Effectuer ensuite des spectres haute résolution détaillés élémentaires acquis à une énergie de passage résolue
d’environ 80 eV et avec un pas d’énergie de 0,1 eV, pour tous les éléments détectés dans les spectres larges et
les utiliser pour l’analyse quantitative. L’étape suivante consiste à acquérir des spectres haute résolution
avec une énergie de passage inférieure ou égale à 40 eV et un pas d’énergie compris entre 0,05 eV et 0,1 eV
conformément à c), mais uniquement pour les pics élémentaires où les déplacements chimiques sont plus petits
et des balayages haute résolution sont donc nécessaires. Pour les poudres de GR2M, cela inclut très probablement
uniquement les pics élémentaires C 1s, O 1s et N 1s, Cl 2p et S 2p.
d) il convient d’effectuer au moins 3 mesurages au total [suivant les étapes b) et c)] à différentes positions
sur chaque échantillon de poudre. Un deuxième ou un troisième échantillon, c’est-à-dire des échantillons
en double ou en triple, peut être analysé pour vérifier la répétabilité, ce qui peut révéler d’éventuels
problèmes liés à la préparation des échantillons. Si trois échantillons sont analysés, un mesurage par
échantillon peut alors suffire.
Cela présume que la zone d’analyse est de plusieurs centaines de microns sur plusieurs centaines de
microns, de sorte que l’analyse porte sur la valeur moyenne de nombreuses particules de GR2M de la taille
d’un micromètre. Si la zone d’analyse est plus petite que cela, des positions de mesurage supplémentaires
sont recommandées.
Il convient que les conditions d’acquisition soient enregistrées et consignées. Si les échantillons se chargent
pendant le mesurage, des systèmes de compensation de charge appropriés doivent être utilisés, par exemple
un canon à électrons. Il convient d’enregistrer les détails de l’opération conformément à l’ISO 19318.
ISO/TS 23359:2025(fr)
a) Spectre d’ensemble d’un échantillon de GR2M
b) Spectre haute résolution du pic C 1s d’un échantillon de GR2M
ISO/TS 23359:2025(fr)
Légende
X énergie de liaison, eV
−1
Y intensité, coups s
1 pic C KLL
2 pic O KLL
3 région de pic F 1s, le cas échéant
4 O 1s
5 région de pic N 1s, le cas échéant
6 C 1S
Figure 3 — Exemple de spectre XPS
6.5 Analyse quantitative
La teneur relative équivalente homogène en carbone, oxygène, soufre, chlore, azote et tout autre élément
détecté doit être calculée à partir de l’aire de pic sélectionnée pour chacun des éléments détectés lors
du spectre d’ensemble (ou à partir d’une quantification réalisée sur les spectres fins élémentaires détaillés).
La concentration atomique équivalente homogène est la concentration atomique qui pourrait donner lieu
aux intensités de pic relatives mesurées si l’échantillon était homogène. C’est-à-dire que si l’échantillon
est homogène, la concentration atomique équivalente homogène est la véritable concentration atomique.
Seules les données acquises en utilisant les mêmes réglages d’instrument, tels que l’énergie de passage,
doivent être utilisées. Si un élément détecté lors du spectre d’ensemble est exclu de l’analyse, cela doit être
noté. Suivre les étapes suivantes:
a) sélectionner la plage intégrale des éléments détectés, avec un intervalle d’énergie intégrale suffisamment
large pour inclure tous les déplacements chimiques possibles dans chaque signal élémentaire. Pour la
quantification, il convient que l’intervalle d’énergie intégrale ne soit pas inférieur à 12 eV pour C 1s, 8 eV
pour O 1s, 10 eV pour N 1s, 12 eV pour Cl 2p et 12 eV pour les signaux S 2p;
b) déterminer l’aire de pic pour chaque élément, conformément à l’ISO 20903;
c) diviser les aire
...
ISO TS 23359:2025 provides a comprehensive framework for the chemical characterization of graphene-related two-dimensional materials found in powders and liquid dispersions. The standard serves a critical role in the nanotechnology field by detailing methods for accurately assessing the chemical properties of these materials, which are increasingly important in various applications, including electronics, materials science, and biomedical fields. One of the significant strengths of ISO TS 23359:2025 is its thorough approach to determining essential parameters such as elemental composition, oxygen to carbon ratio, and trace metal impurities. By incorporating sophisticated measurement techniques like X-ray photoelectron spectroscopy (XPS), thermogravimetric analysis (TGA), inductively coupled plasma mass spectrometry (ICP-MS), and Fourier-transform infrared spectroscopy (FTIR), the standard ensures that users can obtain precise and reliable data necessary for high-quality research and product development. Furthermore, the inclusion of detailed guidance on sample preparation, protocols, and data analysis enhances the standard's usability. Researchers and manufacturers can benefit from the structured methodologies presented, which facilitate consistent application across different contexts and laboratories. This not only promotes reliability in results but also supports advancements in the characterization of graphene-related materials. The relevance of ISO TS 23359:2025 cannot be understated in today's fast-evolving technological landscape. As graphene-related two-dimensional materials continue to garner attention for their unique properties and potential applications, having a standardized approach for chemical characterization becomes indispensable. This document lays the groundwork for ensuring quality control and compliance in the production and use of these materials, thereby fostering innovation in nanotechnology.
ISO TS 23359:2025は、グラフェン関連の二次元材料を含む粉体や液体分散物の化学特性を評価するための方法を定義した技術仕様書です。この標準は、適切な測定技術を用いて、元素組成、酸素と炭素の比率、微量金属不純物、化学種の重量百分比、および存在する官能基を特定することに重点を置いています。 標準の強みは、以下の4つの高度な分析技術を網羅している点です: 1. **X線光電子分光法(XPS)** - 材料の表面化学状態を詳細に解析し、元素の化学結合状態を理解するのに役立ちます。 2. **熱重量分析(TGA)** - 材料の熱的安定性と構成成分の熱的特性を評価するための信頼できる手法です。 3. **誘導結合プラズマ質量分析(ICP-MS)** - 微量金属不純物の精密分析が可能で、特にナノ材料における汚染レベルの把握に有用です。 4. **フーリエ変換赤外分光法(FTIR)** - 化学種や官能基の識別に利用され、材料の化学健康状態を確認します。 ISO TS 23359:2025は、サンプルの準備、各技術におけるプロトコル、データ解析に関する詳細なガイドラインも提供しており、研究者や産業界の専門家が標準化された方法でデータを取得し、比較可能な結果を得るための基盤を形成しています。これにより、ナノテクノロジー分野のコミュニティにとって、非常に重要かつ関連性の高い文書となっています。 この標準は、グラフェン関連材料の特性評価における一貫性を保証し、さまざまな応用において信頼性のあるデータを提供することにより、ナノテクノロジーの進展に寄与します。
La norme ISO TS 23359:2025 se révèle être un document incontournable pour la caractérisation chimique des matériaux bidimensionnels liés au graphène, tant sous forme de poudres que de dispersions liquides. En décrivant des méthodes précises pour évaluer les propriétés chimiques de ces matériaux, la norme démontre son ampleur et sa pertinence dans le domaine des nanotechnologies. Le point fort majeur de cette spécification technique réside dans l'éventail des techniques de mesure proposées, qui comprennent la spectroscopie photoélectronique à rayons X (XPS), l'analyse thermogravimétrique (TGA), la spectrométrie de masse avec plasma à couplage inductif (ICP-MS) et la spectroscopie infrarouge à transformée de Fourier (FTIR). Chacune de ces techniques permet une évaluation approfondie et précise des matériaux, notamment en ce qui concerne la détermination de la composition élémentaire, le ratio oxygène/carbone, les impuretés métalliques en traces, ainsi que le poids pourcentage des espèces chimiques et des groupes fonctionnels présents. De plus, la norme ISO TS 23359:2025 s'inscrit dans une logique de standardisation qui facilite la mutualisation des référentiels et des pratiques au sein de la communauté scientifique et industrielle. Elle offre des protocoles clairs pour la préparation des échantillons et l'analyse des données, garantissant ainsi la fiabilité et la cohérence des résultats. En somme, ISO TS 23359:2025 constitue une référence essentielle pour les chercheurs et les ingénieurs travaillant avec des matériaux liés au graphène, en leur fournissant les outils nécessaires pour caractériser ces substances de manière exhaustive et standardisée. Sa pertinence dans le développement de nouvelles applications nanotechnologiques, ainsi que dans l'assurance de la qualité des matériaux, est indéniable et soutient l'innovation dans ce domaine en pleine croissance.
ISO TS 23359:2025는 그래핀 관련 2차원 물질을 포함한 파우더 및 액체 분산물의 화학적 특성을 규명하기 위한 기술 사양으로, 다양한 측정 기법을 활용하여 이들 물질의 화학적 특성을 상세히 조사합니다. 이 표준의 범위는 원소 조성, 산소와 탄소 비율, 미량 금속 불순물, 화학 종 및 작용기의 중량 백분율을 측정하는 데 필요한 방법론을 포함하고 있습니다. 이 표준의 가장 큰 강점은 X-ray photoelectron spectroscopy (XPS), thermogravimetric analysis (TGA), inductively coupled plasma mass spectrometry (ICP-MS), Fourier-transform infrared spectroscopy (FTIR)와 같은 고급 분석 기법을 활용하여 그래핀 관련 2차원 물질의 화학적 특성을 정밀하게 평가할 수 있도록 한다는 점입니다. 이러한 측정 기법들은 각기 다른 화학적 성분을 심도 있게 분석할 수 있는 능력을 제공하여 연구자들이 실질적인 데이터를 얻는 데 크게 기여합니다. ISO TS 23359:2025는 표본 준비, 프로토콜 및 데이터 분석에 대한 명확한 지침을 제공하므로, 과학 연구 및 산업 응용에 있어 그래핀 관련 물질들을 효과적으로 이해하고 활용할 수 있는 중요한 자료로 자리매김 하고 있습니다. 이 문서의 중요성과 관련성은 현대 나노기술 분야에서 그래핀 소재의 품질 평가와 표준화에 대한 필요성을 충족시키는데 필수적이며, 전 세계의 연구자와 산업체에 귀중한 참조 자료로 작용합니다.
Die ISO TS 23359:2025 stellt einen bedeutenden Fortschritt in der Standardisierung der chemischen Charakterisierung von graphene-bezogenen zweidimensionalen Materialien dar. Der Umfang dieses Dokumentes ist klar definiert: Es beschreibt Methoden zur Analyse von Pulvern und Flüssigdispersionen, die graphene-basierte Materialien enthalten, und fokussiert sich dabei auf die Ermittlung chemischer Eigenschaften. Dieser technische Standard ist besonders relevant für Forscher und Industrieakteure, die sich mit Nanotechnologien beschäftigen, da er präzise und reproduzierbare Verfahren zur Charakterisierung anbietet. Ein herausragendes Merkmal der ISO TS 23359:2025 ist die umfassende Auswahl an Analysetechniken, einschließlich der Röntgen-Photoelektronenspektroskopie (XPS), thermogravimetrischen Analyse (TGA), induktiv gekoppelten Plasma-Massenspektrometrie (ICP-MS) und Fourier-Transform-Infrarotspektroskopie (FTIR). Diese Methoden ermöglichen eine detaillierte Untersuchung der Elementarzusammensetzung, des Verhältnisses von Sauerstoff zu Kohlenstoff, der Schwermetallverunreinigungen sowie des Gewichtsanteils der chemischen Spezies und funktionellen Gruppen in den Proben. Die genaue Definition dieser Techniken und deren Anwendung bietet sowohl Wissenschaftlern als auch der Industrie wertvolle Richtlinien und schafft einheitliche Maßstäbe für die Qualitätssicherung. Die Vorgehensweisen zur Probenvorbereitung, zu den Protokollen sowie zur Datenanalyse, die im Dokument skizziert werden, gewährleisten eine systematische Herangehensweise und stärken die Relevanz dieses Standards in der Forschung und Entwicklung. Darüber hinaus trägt die Dokumentation maßgeblich zur Verbesserung der Vergleichbarkeit von Ergebnissen bei, was für die Innovationsförderung in der Nanotechnologie von entscheidender Bedeutung ist. Zusammenfassend lässt sich sagen, dass die ISO TS 23359:2025 ein unerlässliches Werkzeug für Experten im Bereich der Nanotechnologien darstellt. Ihr klares Konzept und die detaillierten Anweisungen machen sie zu einem zentralen Referenzdokument für alle, die sich mit der chemischen Charakterisierung von graphene-bezogenen Materialien beschäftigen.














Questions, Comments and Discussion
Ask us and Technical Secretary will try to provide an answer. You can facilitate discussion about the standard in here.
Loading comments...